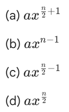
माध्य, माध्यिका और बहुलक Part-5Total Questions: 2011. यदि x + 45, x − 32, x + 25, x + 13 और x − 21 का माध्य (mean) 12 है, तो अंतिम तीन प्रेक्षणों का माध्य (mean) क्या होगा? [ALP Tier II 08/02/2019 (Morning)](a) 15.67 (b) 14.67 (c) 12.67 (d) 11.67Correct Answer: (d) 11.67Solution:12. एक कक्षा में 25 लड़कों की लंबाइयों का माध्य 150 cm और उसी कक्षा में 35 लड़कियों की लंबाइयों का माध्य 145 cm है। कक्षा में सभी 60 विद्यार्थियों की ऊँचाइयों का संयुक्त माध्य लगभग कितना है? [RRB ALP 09/08/2018 (Afternoon)](a) 147 (b) 145 (c) 146 (d) 143Correct Answer: (a) 147 Solution:13. W, X, Y और Z आरोही क्रम में व्यवस्थित चार संख्याएं हैं। इनमें से तीन न्यूनतम संख्याओं का औसत 18 है जबकि तीन अधिकतम संख्याओं का औसत 22 है। आँकड़ों का परास क्या है? [RRB ALP 09/08/2018 (Evening)](a) 10 (b) 11 (c) 12(d) 13Correct Answer: (c) 12Solution:14. एक क्रिकेट मैच में, खिलाड़ियों के रनों को इस प्रकार माना जाता है कि विचरण गुणांक 16 है और माध्य 25 है, तो प्रसरण है : [RRB ALP 14/08/2018 (Morning)](a) 12 (b) 8 (c) 16(d) 4Correct Answer: (c) 16Solution:15. यदि एक डेटा के माध्य, माध्यिका और बहुलक को A, B और C द्वारा दर्शाया जाता है और A : B = 9 : 8 है, तो B : C क्या होगा? [RRB ALP 17/08/2018 (Afternoon)](a) 5 : 4 (b) 8 : 9 (c) 7 : 6 (d) 4 : 3Correct Answer: (d) 4 : 3Solution:16. कुछ आँकड़ों के 15 प्रेक्षणों का योग (434 + x) है। यदि आँकड़ों का माध्य x है, तो x का मान क्या होगा? [RRB ALP 20/08/2018 (Afternoon)](a) 25 (b) 33 (c) 27 (d) 31Correct Answer: (d) 31Solution:17. यदि एक अनुक्रम a, ax, ax², ______, axⁿ में पदों की संख्या विषम है, तो इसकी माध्यिका ज्ञात कीजिए। [RRB ALP 20/08/2018 (Evening)](a)(b)(c)(d)Correct Answer: (d)Solution:18. निम्नलिखित सारणी एक वर्ष में 25 बच्चों के वजन में बढ़ोतरी दर्शाती है। वजन में बढ़ोतरी का माध्य मान कितना है? [RRB ALP 29/08/2018 (Afternoon)](a) 3.2 (b) 2.1 (c) 2.4(d) 1.9Correct Answer: (c) 2.4Solution:19. एक समूह से 5 सबसे छोटी संख्याओं का माध्य 15 है, जबकि समूह की सभी संख्याओं का माध्य 17 है। यदि पाँच छोटी संख्याओं को छोड़ने पर संख्याओं का माध्य 18.25 है, तो समूह में कुल कितनी संख्याएं थी? [RRB ALP 29/08/2018 (Afternoon)](a) 14 (b) 8 (c) 13(d) 12Correct Answer: (c) 13Solution:20. नीचे बच्चों के एक समूह की आयु (वर्षों में) दी गई है। उनकी माध्यिका आयु क्या होगी? [RRB ALP 31/08/2018 (Morning)]7, 9, 8, 6, 5, 3, 9, 2(a) 6.5 (b) 5 (c) 6.125 (d) 6Correct Answer: (a) 6.5 Solution:Submit Quiz« Previous12