विविध

Total Questions: 34

11. टोकरी में रखें आम हर एक मिनट में दोगुने हो जाते हैं। यदि टोकरी 30 मिनट में आमों से पूरी तरह से भर जाती है, तो टोकरी का आधा भाग कितने मिनट में भर जाएगा? [RRB NTPC 04/01/2021 (Morning)]

Correct Answer: (d) 29
Solution:

12. राम की पेन ड्राइव में एक फिल्म है जो 1.75 GB स्थान घेरती है। वह इसे अपने दोस्तों के साथ साझा करना चाहता है। फाइल को स्थानांतरित करने की गति 2MBs है। फाइल को स्थानांतरित करने में कितना समय लगेगा? [RRB NTPC 16/01/2021 (Morning)]

Correct Answer: (c) 14 मिनट 35 सेकंड
Solution:

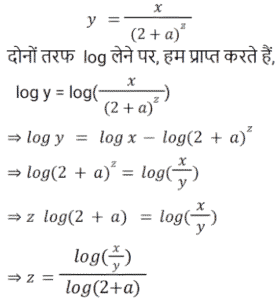
13. यदि y = x/(2 + a)² है तो z = ? [RRB NTPC 29/01/2021 (Evening)]

Correct Answer: (d)
Solution:

14. एक ब्यूटीशियन की आय में उसका वेतन और उसकी सेवाओं के लिए मिलने वाली युक्तियाँ शामिल होती हैं। एक विशेष सप्ताह के दौरान, यदि उसकी युक्तियाँ उसके वेतन का 5/4 थी, तो उसकी आय का कितना अंश युक्तियों से आया? [RRB NTPC 01/02/2021 (Morning)]

Correct Answer: (c) 5/9
Solution:

15. आप 9.08 घंटे को घंटे, मिनट और सेकंड में कैसे लिखेंगे? [RRB NTPC 01/02/2021 (Morning)]

Correct Answer: (b) 9 घंटे, 4 मिनट, 48 सेकंड
Solution:

16. एक विशेष दिन एक प्रतियोगी परीक्षा आयोजित हो जानी है। जिस परीक्षा की परीक्षा को निगरानी करनी होती है, वह 2:30 घंटे से 30 मिनट पहले परीक्षा कक्ष में प्रवेश करता है। वह उसके छात्र से 40 मिनट पहले आओ यदि परीक्षा को लेकर 20 मिनट लेट जाए तो परीक्षा कितने बज शुरू होगी? [RRB NTPC 01/03/2021 (Morning)]

Correct Answer: (b) 15
Solution:

17. यदि एक गुणोत्तर श्रेणी का प्रथम पद 2 है और सामान्य अनुपात 3 है, तो गुणोत्तर श्रेणी का पांचवां पद क्या होगा? [RRB NTPC 22/02/2021 (Morning)]

Correct Answer: (a) 162
Solution:

18. जब एक कक्षा में नोटबुक वितरित की जाती है, तो प्रत्येक बच्चे को कक्षा में बच्चों की संख्या के आंशिक हिस्से के बराबर नोटबुक मिलती है। यदि बच्चों की संख्या आधी कर दी जाए तो प्रत्येक बच्चे को 16 नोटबुक कम मिल जाएगी। कुल कितनी नोटबुक वितरित की जाती है? [RRB NTPC 11/03/2021 (Evening)]

Correct Answer: (a) 512
Solution:

19. एक फार्म के बिजली बिल का एक भाग नियत रहता है और दूसरा भाग खपत को गई बिजली की युनिटों की संख्या के आधार पर परिवर्तित होता है। किसी माह में 480 यूनिट बिजली की खपत होने पर बिल ₹1620 था। दूसरे माह में 690 यूनिट बिजली की खपत होने पर बिल ₹2250 था। यदि अगले माह में 500 यूनिट बिजली की खपत हुई, तो उस माह का बिल कितना होगा? [RRB NTPC 11/03/2021 (Evening)]

Correct Answer: (c) ₹1,680
Solution:

20. वस्तु X की कीमत में प्रति वर्ष 40 पैसे की वृद्धि होती है, जबकि वस्तु Y की कीमत में प्रत्येक वर्ष 25 पैसे की वृद्धि होती है। यदि, वर्ष 2002 में, X की कीमत 5.20 रुपये थी और Y की 6.30 रुपये थी, तो किस वर्ष में वस्तु X की कीमत वस्तु Y से 40 पैसे अधिक होगी? [RRB NTPC 11/03/2021 (Evening)]

Correct Answer: (d) 2012
Solution: