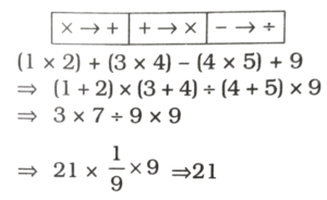
संकेत एवं चिह्न Type -I (प्रश्न 151 – 185)Total Questions: 3521. समीकरण को सही करने के लिए विकल्पों में से चिह्नों का सही क्रम चुनें। 18 - 5 × 50 = 40 [RRB Junior Engineer परीक्षा, 24.05.2019 (तृतीय पाली)](1) -, ×, =(2) ×, =, -(3) =, -, ×(4) ×, -, =Correct Answer: (4) ×, -, =Solution:18 - 5 × 50 = 40⇒ 18 × 5 - 50 = 40⇒ 90 - 50 = 40⇒ 40 = 4022. यदि '+' का अभिप्राय '-' है, '-' का अभिप्राय '+' है, '÷' का अभिप्राय '×' है और '×' का अभिप्राय '÷' है, तो 18 × 3 ÷ 4 - 5 + 3 = ? [RRB Junior Engineer परीक्षा, 25.05.2019 (तृतीय पाली)](1) 21(2) 29(3) 26(4) 31Correct Answer: (3) 26Solution:18 × 3 ÷ 4 - 5 + 3⇒ 18 ÷ 3 × 4 + 5 - 3⇒ 18/3 × 4 + 5 - 3⇒ 6 × 4 + 5 - 3⇒ 24 + 5 - 3⇒ 29 - 3 = 2623. यदि '×' का अर्थ '+' है, '+' का अर्थ '×' है और '-' का अर्थ '÷', है, तो (1 × 2) + (3 × 4) - (4 × 5) + 9 का मान ज्ञात कीजिए। [RRB Junior Engineer परीक्षा, 27.05.2019 (द्वितीय पाली)](1) 9(2) 12(3) 21(4) 3Correct Answer: (3) 21Solution:24. यदि '+' का अर्थ '-' है, '-' का अर्थ '+' है, '×' का अर्थ '÷' है और '÷' का अर्थ '×' है, तो 5 - 5 + 5 ÷ 5 × 5 = ? [RRB Junior Engineer परीक्षा, 01.06.2019 (तृतीय पाली)](1) 5(2) 25(3) 20(4) 26Correct Answer: (1) 5Solution:5 - 5 + 5 ÷ 5 × 5चिन्हों को बदलने के बाद= 5 + 5 - 5 × 5 ÷ 5= 5 + 5 - 5 × 1= 10 - 5= 525. यहाँ दिए गए समीकरण को संतुलित करने के लिए प्रतीकों +, -, ×, ÷ को सही ढंग से व्यवस्थित करें। [RRB Junior Engineer परीक्षा, 01.06.2019 (तृतीय पाली)]5_ 1 _ 3 _5 = 20(4) ÷, +, ×(1) -, +, -(2) -, ×, ×(3) ×, ×, -Correct Answer: (4) ÷, +, ×Solution:5 ÷ 1 + 3 × 5 = 20⇒ 5 + 15 = 20⇒ 20 = 2026. यदि '+' का मतलब '×' है, '-' का मतलब '+' है, '×' का मतलब '÷' और '÷' का मतलब '-' है, तो 8 × 4 - 6 ÷ 3 + 1 = ? [RRB Junior Engineer परीक्षा, 02.06.2019 (द्वितीय पाली)](1) -1(2) 4(3) 2(4) 5Correct Answer: (4) 5Solution:8 × 4 - 6 ÷ 3 + 1चिह्न बदलने पर,= 8 ÷ 4 + 6 - 3 × 1= 2 + 6 - 3= 8 - 3 = 527. यदि '+' का मतलब '×' है, '-' का मतलब '+' है, '×' का मतलब '÷' और '÷' का मतलब '-', है तो, 3 × 2 + 4 - 2 ÷ 9 = ? [RRB Junior Engineer परीक्षा, 02.06.2019 (द्वितीय पाली)](1) 1(2) 3(3) -2(4) -1Correct Answer: (4) -1Solution:28. यदि '+' का मतलब '-' है, '-' का मतलब' +' है, '×' का मतलब '÷' और '÷' का मतलब '×' है, तो दिए गए समीकरणों में से कौन-सा सही है? [RRB Junior Engineer परीक्षा, 26.06.2019 (तृतीय पाली)](1) 30 + 5 ÷ 4 - 10 × 5 = 22(2) 30 - 5 + 4 ÷ 10 × 5 = 62(3) 30 + 5 - 4 ÷ 10 × 5 = 58(4) 30 × 5 - 4 ÷ 10 + 5 = 41Correct Answer: (4) 30 × 5 - 4 ÷ 10 + 5 = 41Solution:3 × 5 - 4 ÷ 10 + 5चिन्ह को बदलने पर= 30 ÷ 5 + 4 × 10 - 5 = 41⇒ 6 + 4 × 10 - 5 = 41⇒ 6 + 40 - 5 = 41⇒ 46 - 5 = 4141 = 4129. यदि '+' का मतलब '×' है, '-' का मतलब '+' है, '×' का मतलब '÷' और '÷' कां मतलब '-' है, तो, 9 ÷ 5 + 4 - 4 × 2 = ? [RRB Junior Engineer परीक्षा, 26.06.2019 (तृतीय पाली)](1) -9(2) 2(3) -3(4) 3Correct Answer: (1) -9Solution:9 ÷ 5 + 4 - 4 × 2चिन्ह को बदलने पर= 9 - 5 × 4 + 4 ÷ 2= 9 - 5 × 4 + 2= 9 - 20 + 2= 11 - 20= - 930. यदि '+' का अर्थ '-' है, '-' का अर्थ '×' है, '×' का अर्थ '÷' है, तो 15 - 3 + 10 × 5 + 5 =? [RRB Junior Engineer परीक्षा, 28.06.2019 (तृतीय पाली)](1) 48(2) 5(3) 38(4) 52Correct Answer: (3) 38Solution:Submit Quiz« Previous1234Next »