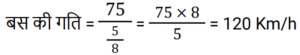
समय , चाल और दूरीTotal Questions: 5011. रेलगाड़ी A, 6.00 a.m. बजे स्टेशन M से प्रस्थान करती है, और उसी दिन 2.00 p.m. बजे स्टेशन N पर पहुँच जाती है। रेलगाड़ी B, 8.00 a.m. बजे स्टेशन N से प्रस्थान करती है, और उसी दिन 3.00 p.m. बजे स्टेशन M पर पहुँच जाती है। रेलगाड़ियों A और B के मिलने का समय ज्ञात कीजिए। [Group D 06/10/2022 (Morning)](a) 11.00 a.m. (b) 10.48 a.m.(c) 10.45 a.m. (d) 10.55 a.m.Correct Answer: (b) 10.48 a.m.Solution:12. रमन, प्रतिदिन 7:40 a.m. बजे घर से निकलता है और 9:46 a.m. बजे अपने कार्यालय पहुँचता है। एक दिन, वह 7:40 a.m. बजे अपने घर से निकलता है, लेकिन एक-चौथाई दूरी सामान्य चाल की 6⁄7 चाल से और शेष दूरी सामान्य चाल की 6⁄5 चाल से तय करता है। रमन उस दिन कितने बजे कार्यालय पहुँचा? [NTPC CBT II Level 5 (12/06/2022) Shift 2](a) 9:45:40 a.m.(b) 9:35:30 a.m.(c) 9:25:50 a.m.(d) 9:30:55 a.m.Correct Answer: (b) 9:35:30 a.m.Solution:मिनट 30 सेकंड 13. चार दोस्त P, Q, R, और S 400 मीटर लंबाई के एक वृत्ताकार ट्रैक के चारों ओर एक ही बिंदु से एक ही समय पर क्रमशः 4, 8, 16 और 20 मीटर/सेकंड की गति से दौड़ते हैं। यदि वे सभी एक ही दिशा में चल रहे हैं, तो वे कितने समय के बाद पहली बार मिलेंगे? [NTPC CBT II Level 3 (14/06/2022) Shift 2](a) 100 s (b) 120 s (c) 145 s (d) 90 sCorrect Answer: (a) 100 s Solution:14. एक रेलगाड़ी एक समान चाल से एक निश्चित दूरी तय करती है। यदि रेलगाड़ी की चाल 12 km/h अधिक होती, तो उसे निर्धारित समय से 8 घंटे कम समय लगता। यदि रेलगाड़ी की चाल 12 km/h कम होती, तो रेलगाड़ी को निर्धारित समय से 12 घंटे अधिक समय लगता। यात्रा की लंबाई (km में) ज्ञात कीजिए। [NTPC CBT II Level 5 (15/06/2022) Shift 3](a) 1440 (b) 2860 (c) 2880(d) 1480Correct Answer: (c) 2880Solution:15. एक बस क्रमशः 20 kmph, 40 kmph, 60 kmph और 120 kmph की चाल से 12 km की चार क्रमागत दूरियों को तय करती है। इस दूरी पर उसकी औसत चाल (kmph में) ज्ञात कीजिए। [NTPC CBT II Level 2 (16/06/2022) Shift 1](a) 40 (b) 100⁄9(c) 50 (d) 200⁄9Correct Answer: (a) 40 Solution:16. स्टॉपेज (ठहराव) को छोड़कर, एक बस की चाल 45 km/h है और स्टॉपेज सहित, उसकी चाल 27 km/h है। बस प्रति घंटे कितने मिनट के लिए रुकती है? [NTPC CBT II Level 2 (16/06/2022) Shift 3](a) 40 mins (b) 36 mins(c) 20 mins (d) 24 minsCorrect Answer: (d) 24 minsSolution:17. एक छात्र अपने घर से 2.5 km/घंटे की चाल से चलता है, और विद्यालय के समय से 6 मिनट बाद अपने विद्यालय पहुँचता है। अगले दिन वह अपनी चाल 1 km/घंटे की वृद्धि करता है, और विद्यालय के समय से 6 मिनट पहले अपने विद्यालय पहुँचता है। उसके घर से विद्यालय कितनी दूर है? [NTPC CBT II Level 3 (17/06/2022) Shift 2](a) 2.5 km (b) 1.75 km(c) 2.25 km (d) 2 kmCorrect Answer: (b) 1.75 kmSolution:18. दो बसें 185 km की दूरी पर एक मुख्य सड़क पर विपरीत बिंदुओं से एक दूसरे की ओर चलना शुरू करती हैं। पहली बस 35 km चलती है और दाएँ मुड़ती है और 17 km चलती है। यह फिर बाएँ मुड़ती है और 42 km तक चलती है और मुख्य सड़क तक पहुँचने के लिए पीछे की ओर मुड़ती है। इस बीच, एक मामूली खराबी के कारण, दूसरी बस मुख्य सड़क पर केवल 36 km चली। इस बिंदु पर दोनों बसों के बीच की दूरी क्या होगी? [NTPC CBT-I 28/12/2020 (Morning)](a) 72 km (b) 75 km(c) 80 km (d) 85 kmCorrect Answer: (a) 72 km Solution:19. एक रेलगाड़ी बस की तुलना में 50% तेजी से यात्रा कर रही है। दोनों समान समय पर करनाल से शुरू होकर पानीपत पहुँचती हैं, जो करनाल से 75 km दूर है। हालांकि रास्ते में रेलगाड़ी एक स्टेशन पर करीब 12.5 मिनट रुकती है। बस की गति ज्ञात कीजिए। [NTPC CBT-I 07/01/2021 (Evening)](a) 100 km/h (b) 120 km/h(c) 110 km/h (d) 130 km/hCorrect Answer: (b) 120 km/hSolution:20. एक वृत्ताकार पथ पर चलते हुए अंशु को एक चक्कर पूरा करने में 18 मिनट लगते हैं और सिद्धि इसी के लिए 12 मिनट का समय लेती है। यदि वे एक ही बिंदु से और एक ही समय पर चलना शुरू करते हैं, तो वे फिर से शुरुआती बिंदु पर कितने मिनट बाद मिलेंगे? [NTPC CBT-I 07/01/2021 (Evening)](a) 6 मिनट (b) 1.5 मिनट (c) 36 मिनट(d) 216 मिनटCorrect Answer: (c) 36 मिनटSolution:Submit Quiz« Previous12345Next »