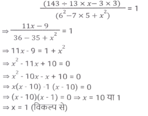
सरलीकरण (भाग-II)Total Questions: 5021. इसका मान क्या है। [SSC CHSL 10/07/2024 (3rd Shift) ][3³{(40 × 5) + (7 × 6)} ÷ 11] + (2³ × 15 ÷ 24)(a) 559(b) 595(c) 599(d) 959Correct Answer: (c) 599Solution:22. यदि'÷' का अर्थ'×', '×' का अर्थ '÷', '+' का अर्थ '-', '-' का अर्थ '+' है, तो 47 ÷ (10 × 5) + (4 - 5) - 6 का मान ज्ञात कीजिए। [SSC CHSL 10/07/2024 (4th Shift)](a) 100(b) 59(c) 79(d) 91Correct Answer: (d) 91Solution:दिया गया व्यंजक :-47 ÷ (10 × 5) + (4 - 5) - 6निर्देशों के अनुसार चिन्हों को बदलने पर ;47 × (10 ÷ 5) - (4 + 5) + 6= 47 × 2 - 9 + 6 = 94 - 3 = 9123. इसका मान क्या है। [SSC CHSL 11/07/2024 (1st Shift) ](a) 1(b) 0(c) 3(d) 2Correct Answer: (a) 1Solution:24. इसका मान ज्ञात कीजिए। [SSC CPO 27/06/2024 (1st Shift)] (a)(b)(c)(d)Correct Answer: (d)Solution:25. इसका मान ज्ञात कीजिए। [SSC CPO 27/06/2024 (1st Shift)][18 - 3 × {3 - 3 × (3 ÷ 1/3 - 3) + 3 ÷1/3 + 3} - 4 × 2](a) 18(b) 19(c) 12(d) 15Correct Answer: (b) 19Solution:26. इसका मान ज्ञात कीजिए। [SSC CPO 27/06/2024 (1st Shift)]12 + 24 ÷ 2 - 7 × 30 ÷ 6 + (5 + 4) × 8 + 8 ÷ 8 - 8(a) 45(b) 85(c) 54(d) 58Correct Answer: (c) 54Solution:27. x का संभव मान क्या होगा ? [SSC CPO 27/06/2024 (1st Shift)](a) 1(b) 3(c) 2(d) 4Correct Answer: (a) 1Solution:28. इसका मान ज्ञात कीजिए। [SSC CPO 27/06/2024 (2nd Shift)](a) 5(b) 3(c) 1(d) 2Correct Answer: (b) 3Solution:29. निम्नलिखित व्यंजक को सरल कीजिए: [SSC CPO 27/06/2024 (2nd Shift)]25 × 25 + 9 × 9 + 6 × 6 + 2 × 25 × 9 + 2 × 9 × 6 + 2 × 25 × 6(a) 900(b) 1200(c) 1600(d) 2500Correct Answer: (c) 1600Solution:30. इसका मान कितना होगा ? [SSC CPO 27/06/2024 (2nd Shift)](a) 2(b) 0(c) 1(d) -1Correct Answer: (b) 0Solution:Submit Quiz« Previous12345Next »