हरियाणा CET परीक्षा, ग्रुप – D (21.10.2023) प्रथम पाली

Total Questions: 100

51. प्रकार-1 के चावल का मूल्य 15 रुपये प्रति किलोग्राम है जबकि प्रकार-II के चावल का मूल्य 20 रुपये प्रति किलोग्राम है। यदि दोनों प्रकार के चावलों को 2 : 3 में मिलाया गया हो, तो मिश्रण का प्रति किलोग्राम मूल्य है :

Correct Answer: (1) 18 रुपये
Solution:

(20 x) / (x - 15)​ = 2/3

x = 90/5 = 18 रुपये

मिश्रण का प्रतिकिग्रा. मूल्य = 18 रुपये

52. बराबर समय में A, B से 20% कम कार्य करता है। यदि A किसी कार्य को 7.5 घंटों में पूरा कर सकता है, तो B उसी कार्य को कितने समय में पूरा कर पाएगा?

Correct Answer: (3) 6 घंटे
Solution:

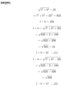
53. यदि किसी आयत के विकर्ण की लम्बाई तथा क्षेत्रफल क्रमशः 25 मीटर तथा 168 वर्ग मीटर हैं, तो आयत की लम्बी भुजा है:

Correct Answer: (3) 24 मी.
Solution:

समीकरण (1) और (2) को हल करने पर;

l = 48/2 = 24 मी.

आयत की बड़ी भुजा = 24 मी.

54. साधारण ब्याज की किस दर से कोई राशि 12 वर्षों में स्वयं की दुगुनी हो जाती है?

Correct Answer: (2)
Solution:

55. अरुण एक सेल से स्केटस् का एक जोड़ा खरीदता है, जहाँ उसे 20% बट्टा मिल रहा है। यदि उसने 1,600 रुपये दिए तो निम्न में से कौन-सी राशि उस स्केटस् के एक जोड़े का अंकित मूल्य है?

Correct Answer: (4) 2,000 रुपये
Solution:माना अंकित मूल्य = x रुपये

x का 80% = 1600

⇒ 80x / 100 = 1600

⇒ x = (1600 × 100)/80 = 2000 रुपये

56. Choose the correctly spelt word.

Correct Answer: (2) humorous
Solution:सही वर्तनी वाला शब्द humorous है।

Humorous (Adjective) - (हास्यपूर्ण, विनोदपूर्ण) causing lighthearted laughter and amusement comic.

57. Choose the alternative which best expresses the given sentence in Passive Voice.

The accountant took the cheque from the customer.

Correct Answer: (2) The cheque was taken from the customer by the accountant.
Solution:Simple past tense की active और passive voice की संरचना देखें:

Active voice: Subject + v² + object.

The accountant took the cheque from the customer.

Passive voice: Subject (object of active voice) + was/were + v³ + by + object (subject of active voice)

The cheque was taken from the customer by the accountant.

58. In the following question, the first and the last part of the sentence are numbered S₁ & S₆ The rest of the sentence is split into four parts and named P, Q, R and S. These four parts are Jumbled. Re-arrange them in correct order.

S₁ - Even today in many countries

P - neglected and there are far

Q - women continue to be

R - who have had the benefit of

S - fewer women than men

S₆ - education and vocation training

Correct Answer: (2) QPSR
Solution:QPSR

59. Change the following sentence into indirect speech.

Shakti said to his friend.

"Look out! There is a snake behind you".

Correct Answer: (4) Shakti warned his friend that there was a snake behind him.
Solution:दिये गए direct speech के वाक्य को indirect speech में निम्नलिखित प्रकार से बदला जायेगा।

Direct speech                            Indirect speech

  • We use warn, request, usge etc in imperative sentence, aсcording to the requirement.

Shakti said to his this                 ⇒              Shakti warned his friend, friend

, " "                                                  ⇒              That

  • Remove the imperative word - look out!
  • There is (Present)            ⇒                there was (Past)
  • Shakti warned his friend that there was a snake behind him.

60. Pick out the part of the Sentence which has an error, If there is no error, your answer is (4).

This is the thire

communication

(I have sent/)/(A)

(and I am much surprised/)/(B)

at receiving no answer./(C)

Correct Answer: (2) (B)
Solution:Adverb "much" का प्रयोग affirmative sentence में किसी adjective को modify करने के लिए नहीं होता है बल्कि उसकी जगह पर very, extremely या quite का प्रयोग होता है। अतः and i am very surprised का प्रयोग किया जायेगा।