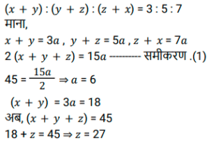
अनुपात – समानुपात (SSC) (Part-IV)Total Questions: 5041. एक गाँव में लड़कों की संख्या और लड़कियों की संख्या का अनुपात 5 : 3 है। यदि 40% लड़के और 60% लड़कियां एक परीक्षा में शामिल हुईं, तो परीक्षा में शामिल होने वाले लड़कों एवं लड़कियों की संख्या और उसी परीक्षा शामिल न होने वालों की संख्या का अनुपात क्या होगा? [Matriculation Level 30/06/2023 (Shift - 4)](a) 17 : 21(b) 19 : 21(c) 17 : 27(d) 19 : 23Correct Answer: (b) 19 : 21Solution:42. दो बेलनों की त्रिज्याएँ 2 : 1 के अनुपात में हैं और उनकी ऊँचाई 5 : 2 के अनुपात में है। उनके आयतनों का अनुपात क्या होगा? [SSC CHSL Tier II (26/06/2023)](a) 20 : 1(b) 15 : 1(c) 10 : 1(d) 5 : 1Correct Answer: (c) 10 : 1Solution:43. दो संख्याओं का अनुपात 5 : 9 है। यदि बड़ी संख्या में 6 जोड़ा जाए और छोटी संख्या में से 6 घटाया जाए, तो बड़ी संख्या छोटी संख्या का 6 गुना हो जाती है। संख्याएँ क्या हैं? [SSC MTS 02/05/2023 (Afternoon)](a) 15 और 27(b) 10 और 18(c) 25 और 45(d) 20 और 36Correct Answer: (b) 10 और 18Solution:44. यदि J/4 = K/5 = L/3 है, तों (L + J)² : (J + K)² : (K + L)² का मान क्या है ? [SSC MTS 04/05/2023 (Afternoon)](a) 25 : 16 : 9(b) 64 : 25 : 81(c) 49 : 81 : 62(d) 49 : 81 : 64Correct Answer: (d) 49 : 81 : 64Solution:45. तीन धनात्मक संख्याओं में, पहली और दूसरी का अनुपात 3 : 4 है और दूसरी और तीसरी का अनुपात 3 : 5 है। पहली और तीसरी संख्या का गुणनफल 4500 है। इन तीन संख्याओं का योग क्या है ? [SSC MTS 11/05/2023 (Morning)](a) 282(b) 235(c) 198(d) 205Correct Answer: (d) 205Solution:46. जब कोई धनराशि 50 बच्चों में समान रूप से वितरित की गई, तो प्रत्येक बच्चे को Rs. 80 प्राप्त हुए। यदि समान राशि को बच्चों के दूसरे समूह में समान रूप से इस प्रकार वितरित किया जाए कि प्रत्येक बच्चे को Rs. 50 प्राप्त हों, तो दूसरे समूह में बच्चों की संख्या कितनी है? [SSC MTS 15/05/2023 (Morning)](a) 50(b) 80(c) 60(d) 40Correct Answer: (b) 80Solution:47. यदि (x + y) : (y + z) : (z + x) = 3 : 5 : 7 and (x + y + z) = 45, तो z का मान क्या है ? [SSC MTS 16/05/2023 (Evening)](a) 18(b) 30(c) 27(d) 20Correct Answer: (c) 27Solution:48. 120 रुपये की राशि को p, q और r के बीच इस प्रकार बाँटा जाता है कि P को q से 9 रुपये अधिक मिलते हैं और q को r से 6 रुपये अधिक मिलते हैं। p, q और r के हिस्सों का क्रमशः अनुपात क्या है? [SSC MTS 17/05/2023 (Morning)](a) 18 : 15 : 13(b) 15 : 12 : 10(c) 16 : 13 : 11(d) 11 : 8 : 10Correct Answer: (c) 16 : 13 : 11Solution:49. एक व्यक्ति का व्यय और बचत 4 : 3 के अनुपात में है। उसकी बचत उसकी आय के 1/5 के बराबर बढ़ जाती है और आय समान रहती है। उसके व्यय और बचत का नया अनुपात क्या है? [SSC CHSL 10/03/2023 (1st Shift)](a) 12 : 17(b) 14 : 17(c) 13 : 22(d) 15 : 13Correct Answer: (c) 13 : 22Solution:50. आयुष और अभिषेक का वजन 8 : 5 के अनुपात में है। अभिषेक का वजन 40 प्रतिशत बढ़ जाता है और आयुष और अभिषेक दोनों का कुल वजन 60 प्रतिशत बढ़ जाता है। यदि कुल वजन 104 kg हो जाता है, तो वृद्धि के बाद आयुष का वजन कितना है? [SSC CHSL 10/03/2023 (3rd Shift)](a) 60 kg(b) 75 kg(c) 69 kg(d) 72 kgCorrect Answer: (c) 69 kgSolution:Submit Quiz« Previous12345