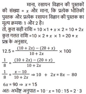
अनुपात – समानुपात (SSC) (Part-VI)Total Questions: 3411. यदि (a + b) : (b+c) : (c + a) = 7 : 4 : 5, और a + b + c = 16, तो (a² + b²+c²) : (ab + bc + ca) बराबर है: [SSC MTS 08/10/2021 (Evening)](a) 24 :17(b) 26 : 19(c) 27 : 20(d) 23 : 15Correct Answer: (b) 26 : 19Solution:12. रेणुका ने गणित में अंग्रेजी से 1½ गुना अधिक अंक प्राप्त किए। गणित, अंग्रेजी और विज्ञान में उसके कुल अंक 190 हैं। यदि गणित और विज्ञान में अंकों का अनुपात 2 : 3 है, तो उसके विज्ञान के अंक ज्ञात कीजिए। [SSC MTS 11/10/2021 (Evening)](a) 92(b) 90(c) 85(d) 88Correct Answer: (b) 90Solution:13. एक आदमी ने 10 भौतिकी की किताबें और कुछ रसायन विज्ञान की किताबें मंगवाईं। एक रसायन विज्ञान की किताब की कीमत भौतिकी की किताब की कीमत से दोगुनी है। बिल तैयार करते समय क्लर्क ने गलती से भौतिकी और रसायन विज्ञान की किताबों की संख्या आपस में बदल दी, जिससे बिल 12½% कम हो गया। मूल क्रम में, भौतिक विज्ञान की पुस्तकों की संख्या का रसायन विज्ञान की पुस्तकों की संख्या से अनुपात है: [SSC MTS 12/10/2021 (Evening)](a) 3 : 5(b) 3 : 4(c) 4 : 5(d) 2 : 3Correct Answer: (d) 2 : 3Solution:14. दिनेश की मासिक आय और व्यय का अनुपात 17 : 14 है और उसकी मासिक बचत ₹12,000 है। यदि उसकी मासिक आय में ₹10,000 की वृद्धि होती है और व्यय में ₹2,000 की कमी होती है, तो उसकी आय और व्यय का नया अनुपात है: [SSC MTS 12/10/2021 (Evening)](a) 13 : 8(b) 13 : 9(c) 11 : 9(d) 11 : 7Correct Answer: (b) 13 : 9Solution:15. एक निश्चित राशि को A, B, C और D में इस प्रकार विभाजित किया जाता है कि B का हिस्सा A के हिस्से का 1/3 है, C का हिस्सा B के हिस्से का 40% है, और D का हिस्सा C के हिस्से का 50% है। यदि B और D के हिस्से के बीच का अंतर ₹1,600 है, तो योग है: [SSC MTS 13/10/2021 (Morning)](a) ₹9,600(b) ₹9,400(c) ₹9,000(d) ₹9,200Correct Answer: (d) ₹9,200Solution:16. A, B और C कंचों के बॉक्स 2 : 3 : 4 के अनुपात में हैं। इन बक्सों में कंचों की कुल संख्या 360 है। उपरोक्त अनुपात को निम्न में से किसके द्वारा 3 : 8 : 7 में बदला जा सकता है? [SSC MTS 18/10/2021 (Morning)](i) 20 कंचे A से B में और 20 कंचे C से B में स्थानांतरित करके। (ii) 20 कंचे A से B और 10 कंचे C से B में स्थानांतरित करके। (iii) 40 कंचे A से B में और 20 कंचे C से B में स्थानांतरित करके। (iv) 30 कंचे A से B और 30 कंचे C से B में स्थानांतरित करके।(a) (ii)(b) (iv)(c) (i)(d) (iii)Correct Answer: (c) (i)Solution:17. एक स्कूल में कक्षा 10 के तीन वर्गों में छात्रों की संख्या 3:5:8 के अनुपात में है। यदि तीन खंडों में क्रमशः 15, 30, 15 और अधिक छात्रों को प्रवेश दिया जाता है, तो नया अनुपात 4:7:9 हो जाता है। नए प्रवेश से पहले छात्रों की कुल संख्या है: [SSC MTS 18/10/2021 (Afternoon)](a) 320(b) 160(c) 240(d) 400Correct Answer: (c) 240Solution:18. 48 ग्राम वजन वाले एक अर्ध-कीमती पत्थर की कीमत ₹2,30,400 है। इसे दो टुकड़ों में विभाजित किया गया है जिनके वजन 5 : 7 के अनुपात में हैं। यदि कीमत वजन के वर्ग के समानुपाती है, तो हानि (₹ में) है: [SSC MTS 18/10/2021 (Afternoon)](a) 1,12,000(b) 40,000(c) 1,18,400(d) 78,400Correct Answer: (a) 1,12,000Solution:19. x और y दो संख्याएँ हैं जिनमें विपरीत चिह्न हैं जैसे x² : y² = 49 : 64, तो (5x - 6y) : (6x - 7y) का मान क्या है? [SSC MTS 18/10/2021 (Evening)](a) 44 : 65(b) 13 : 14(c) 94 : 117(d) 83 : 98Correct Answer: (d) 83 : 98Solution:20. एक परीक्षा में, उत्तीर्ण होने वालों से अनुत्तीर्ण होने वाले उम्मीदवारों की संख्या का अनुपात 5 : 2 था। यदि अनुत्तीर्ण उम्मीदवारों की संख्या 14 अधिक होती, तो उत्तीर्ण उम्मीदवारों की संख्या का अनुत्तीर्ण होने वालों की संख्या से अनुपात 4 : 3 होता। परीक्षा में बैठने वाले उम्मीदवारों की संख्या थीः [SSC MTS 20/10/2021 (Afternoon)](a) 126(b) 98(c) 70(d) 100Correct Answer: (b) 98Solution:Submit Quiz« Previous1234Next »