कार्य, ऊर्जा और शक्ति (भौतिक विज्ञान) (Part-II)

Total Questions: 37

31. निम्नलिखित का सही उत्तर के साथ मिलान कीजिए: [RRB ALP Tier - I (30/08/2018) Evening]

सूची-Iसूची-II
(1) कार्य(A) रासायनिक ऊर्जा विद्युत ऊर्जा में परिवर्तित होती है
(2) बैटरी(B) ध्वनि ऊर्जा विद्युत ऊर्जा में परिवर्तित होती है
(3) शक्ति(C) किलोवाट घंटा
(4) माइक्रोफोन(D) जूल

कूट:

1234
(a)DACB
(b)BACD
(c)DCBA
(d)DCAB
Correct Answer: (a)
Solution:कार्य: कार्य विस्थापन की दिशा में बल के उत्पाद और इस विस्थापन के परिमाण का गुणनफल है।बैटरी: एक या एक से अधिक सेल का संग्राहक है जिनकी रासायनिक प्रतिक्रियाएँ एक सर्किट में इलेक्ट्रॉनों का प्रवाह बनाती हैं।

32. निम्नलिखित का सही मिलान करिए: [RRB ALP Tier-1 (31/08/2018) Morning]

(1) कार्य

(A) न्यूटन मीटर (Nm)

(2) किलोवाट

(B) 3.6 × 10⁶ जूल

(3) 1 किलोवाट घण्टा (kW-h)

(C) 1000 वाट

(4) 1 हार्सपावर (HP)

(D) 746 वाट

कूट:

1234
(a)ACBD
(b)DBCA
(c)ACDB
(d)ABCD
Correct Answer: (a)
Solution:1-A, 2-C, 3-B, 4-D | कार्य विस्थापन की दिशा में बल के घटक और इस विस्थापन के परिमाण का गुणनफल (कार्य = बल * विस्थापन * cosθ) |

33. इनमें से कौन सा स्थितिज ऊर्जा का उदाहरण नहीं है ? [RRB ALP Tier-1 (31/08/2018) Afternoon]

Correct Answer: (a) बहता हुआ जल
Solution:बहता हुआ जल। स्थितिज ऊर्जा - किसी पिंड द्वारा अन्य के सापेक्ष किसी वस्तु की स्थिति के आधार पर प्राप्त ऊर्जा। उदाहरण-पेंडुलम (यदि एक पेंडुलम को एक छोर पर रखा जाता है, तो इसकी स्थिति के कारण उस समय इसकी अधिकतम स्थितिज ऊर्जा होती है), बो एंड एरो, रॉक एट क्लिफ्स एज, रोलरकोस्टर।

34. निम्न में से कौन अधिक काम कर सकता है? [RRB ALP Tier-1 (31/08/2018) Evening]

Correct Answer: (b) बंदूक की एक चलती हुई गोली
Solution:बंदूक की एक चलती हुई गोली। गोली (bullet) द्वारा किया गया कार्य एक घूर्णन पहिया, एक तेज गति वाले पत्थर और एक उभरे हुए हथौड़ा की तुलना में अधिक होगा क्योंकि एक वस्तु जो तेजी से चलती है, अपेक्षाकृत धीमी गति से चलने वाली एक समान वस्तु की तुलना में अधिक कार्य कर सकती है। कार्य की मात्रा द्रव्यमान, वेग और किए जा रहे कार्य की प्रकृति जैसे कारकों पर निर्भर करती है।

35. निम्नलिखित उल्लेखनीय गतिविधियों में से किस स्थितिज ऊर्जा (P.E.) को गतिज ऊर्जा (K.E.) में परिवर्तित किया गया है? [RRB ALP Tier-1 (31/08/2018) Evening]

Correct Answer: (d) एक पेंडुलम का झूलना
Solution:एक पेंडुलम का झूलना। झूलते पेंडुलम के मामले में, जैसा कि पेंडुलम स्विंग (अधिकतम स्थितिज ऊर्जा) में अपने उच्चतम बिंदु तक पहुंचता है, इसमें कार्य करने की क्षमता होती है। जैसा कि यह उस बिंदु से उतरता है, स्थितिज ऊर्जा गतिज ऊर्जा में परिवर्तित हो जाती है क्योंकि पेंडुलम गति और वेग प्राप्त करता है। स्विंग के सबसे निचले बिंदु पर, पेंडुलम में अधिकतम गतिज ऊर्जा और न्यूनतम स्थितिज ऊर्जा होती है। पेंडुलम के निरंतर झूलने में स्थितिज ऊर्जा का गतिज ऊर्जा में आगे-पीछे रूपांतरण शामिल है और इसके विपरीत।

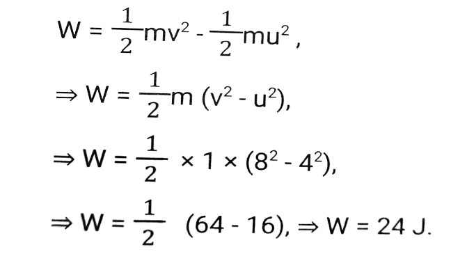
36. एक बल 1.0 किग्रा की वस्तु की गति को 4 मीटर/सेकेंड से 8 मीटर/सेकेंड तक बढ़ा देता है। बल द्वारा किया गया कार्य________होगा। [RRB Group D 17/09/2018 (Morning)]

Correct Answer: (c) 24 J
Solution:दिया गया है, वस्तु का द्रव्यमान (m) = 1 kg, प्रारंभिक वेग (u) = 4 m/s , अंतिम वेग (v) = 8 m/s

चूंकि, बल द्वारा किया गया कार्य (W) = अंतिम गतिज ऊर्जा (Kꜰ) - प्रारंभिक गतिज ऊर्जा (Kᵢ),

37. एक व्यक्ति 20 किलो वजन का सामान जमीन से उठाता है और उसे जमीन से 2 मीटर ऊपर अपने सिर पर रखता है। उसके द्वारा किये गये कार्य की गणना कीजिये। (g = 10 ms⁻²) [RRB Group D 17/09/2018 (Afternoon)]

Correct Answer: (b) 400 जूल
Solution:400 जूल। कार्य = (W) बल (F) * विस्थापन (d) चूँकि, बल = द्रव्यमान * त्वरण इसलिए, W = द्रव्यमान * त्वरण * विस्थापन = 20 kg * 10 ms⁻² * 2m = 400kg m² s⁻² = 400 जूल।