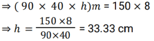
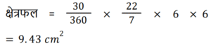
क्षेत्रमितिTotal Questions: 5011. छायांकित क्षेत्र का क्षेत्रफल ज्ञात कीजिए ? [NTPC CBT - I 10/01/2021 (Morning)](a) 588/7 cm² (b) 12/7 cm²(c) 78/7 cm² (d) 642/7 cm²Correct Answer: (d) 642/7 cm²Solution:12. एक आयत की लम्बाई उसकी चौड़ाई से 3m अधिक है और परिमाप संख्यामक रूप से उसके क्षेत्रफल के बराबर है। इसके विपरीत के मान का समाकलन भाग कितना होगा ? [NTPC CBT - I 13/01/2021 (Morning)](a) 6 (b) 8 (c) 7 (d) 9Correct Answer: (a) 6 Solution:13. एक कमरे के लिए, यदि लम्बाई और चौड़ाई L = (3x + 10) m और B = (2x + 5) m द्वारा दी गई है और इसकी 4 दीवारों का क्षेत्रफल (60x + 180) दिया है, तो कमरे की ऊँचाई क्या है? [NTPC CBT - I 19/01/2021 (Morning)](a) 9 m (b) 5 m (c) 8 m (d) 6 mCorrect Answer: (d) 6 mSolution:14. यदि त्रिज्या r = 36 cm के एक वृत्त में चाप लम्बाई l = एक त्रिज्यांश, 4l = 3r के संज्ञु करता है, तो त्रिज्यखंड का क्षेत्रफल कितना है? [NTPC CBT - I 21/01/2021 (Evening)](a) 496 cm² (b) 486 cm²(c) 476 cm² (d) 461 cm²Correct Answer: (b) 486 cm²Solution:15. एक आयताकार आंगन 18m × 72cm लंबा और 13m × 20cm चौड़ा है। इसे सभी समान आकार की चौके टाइल्स से पक्का किया जाता है। ऐसी टाइल्स की न्यूनतम आवश्क संख्या ज्ञात कीजिए। [NTPC CBT - I 28/01/2021 (Morning)](a) 4290 (b) 4295 (c) 4292 (d) 4294Correct Answer: (a) 4290 Solution:16. चार गायों को 28 मीटर लंबे एक वर्गाकार खेत के चारों कोनों से बांध दिया है ताकि प्रत्येक गाय बागल के कोनों में दो गायों को छू सके। यदि वर्गाकार खेत के अंदर के क्षेत्र में गायों के लिए उपलब्ध घास 22 दिनों के लिए पर्याप्त थी, तो इन गायों की पहुंच से बाहर की घास कितने दिनों तक उन्हें खिलाई जा सकेगी और इस घास को काटने के और चरने योग भाग को अंदर छोड़ देती है? (π = 22/7 का प्रयोग करें) [NTPC CBT - I 02/02/2021 (Morning)](a) 6 (b) 5 (c) 4 (d) 7Correct Answer: (a) 6 Solution:17. एक वृत्त की न्यूनतम त्रिज्या (>1) क्या है जिसकी परिधि पूर्णांक है। [NTPC CBT - I 10/02/2021 (Morning)](a) 3/π (b) 6/π (c) 4/π(d) 2Correct Answer: (c) 4/πSolution:18. 90 मीटर × 40 मीटर के एक स्विमिंग पूल में 150 आदती डुबकी लगाते हैं। यदि एक व्यक्ति द्वारा पानी का औसत विस्थापन 8 क्यूबिक मीटर है, तो पूल के जल स्तर में क्या वृद्धि होगी? [NTPC CBT - I 10/02/2021 (Evening)](a) 33.33cm (b) 30cm(c) 25cm (d) 20cmCorrect Answer: (a) 33.33cm Solution:19. एक वर्गाकार क्षेत्र में बाड़ लगाने के लिए मशीनी 48 खंभे गढ़ाता है। यदि 2 खंभों के बीच की दूरी 5m है, तो इस प्रकार निर्मित वर्ग का क्षेत्रफल ज्ञात कीजिए। [NTPC CBT - I 11/02/2021 (Morning)](a) 3200 m² (b) 3600 m²(c) 3500 m² (d) 4000 m²Correct Answer: (b) 3600 m²Solution:20. 5 मिनट के अंतराल में, दीवार घड़ी की 6 cm लंबी मिनट की सूई की स्थिति से संबंधित होने वाले क्षेत्र का क्षेत्रफल कितना है? [NTPC CBT - I 23/02/2021 (Morning)](a) 9.8 cm² (b) 9.63 cm²(c) 9.6 cm² (d) 9.43 cm²Correct Answer: (d) 9.43 cm²Solution:Submit Quiz« Previous12345Next »