गुरुत्वाकर्षण (भौतिक विज्ञान)

Total Questions: 59

51. एक ऐसे ग्रह पर विचार करें जिसका द्रव्यमान और त्रिज्या पृथ्वी के द्रव्यमान और त्रिज्या का एक तिहाई है। यदि g पृथ्वी पर गुरुत्वाकर्षण के कारण त्वरण का मान है, तो ग्रह पर इसका मान ______ होगा। [RRB Group D 19/09/2018 (Afternoon)]

Correct Answer: (c) 3 g
Solution:

52. दो निकायों के बीच आकर्षण बल 1/9 F है। तो इन दो निकायों के बीच दुरी क्या होगी? [RRB Group D 10/10/2018 (Morning)]

Correct Answer: (a) तीन गुना
Solution:

53. पृथ्वी की सतह पर गुरुत्वीय त्वरण 9.8 m/s² है। पृथ्वी की सतह से उसकी त्रिज्या की 1/10 ऊँचाई पर त्वरण मान लगभग क्या होगा? [RRB Group D 15/10/2018 (Evening)]

Correct Answer: (d) 8.1 m/s²
Solution:

54. माना कि गुरुत्वाकर्षण बल दूरी के n घात से प्रतिलोमतः बदलता है। तो सूर्य के चारों ओर R त्रिज्या के वृत्तीय कक्ष में चक्कर लगाने में ग्रह की कालावधि __________ के समानुपाती होगी। [RRB Group D 15/11/2018 (Morning)]

Correct Answer: (c)
Solution:

सूर्य के चारों ओर एक ग्रह को घूमने के लिए आवश्यक अभिकेन्द्रीय बल = उस पर लागू गुरुत्वाकर्षण बल,

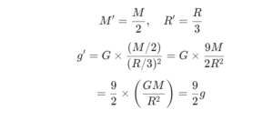
55. मान लें एक काल्पनिक ग्रह, जिसका द्रव्यमान पृथ्वी के आधे के बराबर और त्रिज्या एक तिहाई के बराबर है। यदि पृथ्वी की सतह पर गुरुत्वाकर्षण के कारण त्वरण g है, तो उस ग्रह पर गुरुत्वाकर्षण के कारण त्वरण कितना होगाः   [RRB ALP Tier-I (17/08/2018) Afternoon]

Correct Answer: (b) 9/2 g
Solution:

56. चंद्रमा पर g का मान पृथ्वी पर g के मान का (1/6)th है। यदि कोई व्यक्ति पृथ्वी पर 1.5 मीटर ऊँचा उछलता है, तो चंद्रमा पर वह कितनी ऊँचाई तक उछल सकता है? [RRB ALP Tier - I (13/08/2018) Morning]

Correct Answer: (c) 9 मीटर
Solution:

चंद्रमा का गुरुत्वाकर्षण पृथ्वी के गुरुत्वाकर्षण का 1/6 है,
अर्थात पृथ्वी का गुरुत्वाकर्षण बल चंद्रमा के गुरुत्वाकर्षण बल का 6 गुना है,
इसलिए यदि कोई व्यक्ति पृथ्वी पर 1.5 मीटर की छलांग लगाता है
तो वह चंद्रमा की सतह पर 1.5×6=91.5 × 6 = 9 मीटर की छलांग लगा सकता है।

पृथ्वी का गुरुत्वाकर्षण = 9.807 मी/से²
चंद्रमा का गुरुत्वाकर्षण = 1.62 मी/से²

57. मान लें एक काल्पनिक ग्रह, जिसका द्रव्यमान और त्रिज्या दोनों पृथ्वी के आधे के बराबर हैं। यदि पृथ्वी की सतह पर गुरुत्वाकर्षण के कारण त्वरण g है, तो उस ग्रह पर गुरुत्वाकर्षण के कारण त्वरण कितना होगा : [RRB ALP Tier - 1 (20/08/2018) Morning]

Correct Answer: (a) 2g
Solution:

58. मान ले एक ग्रह है जिसका द्रव्यमान और त्रिज्या दोनों ही पृथ्वी के द्रव्यमान और त्रिज्या के दोगुने हैं। ग्रह की सतह पर गुरुत्वीय त्वरण पृथ्वी की तुलना में n गुना है। n का मान है ? [RRB ALP Tier-I (21/08/2018) Evening]

Correct Answer: (d) 1/2
Solution:पृथ्वी का द्रव्यमान

59. एक वस्तु का वजन पृथ्वी की सतह पर W है। जिस ग्रह का द्रव्यमान पृथ्वी के 15 गुना और त्रिज्या पृथ्वी के 4 गुना है, उस पर उसका वजन क्या है? [RRB ALP Tier - I (31/08/2018) Afternoon]

Correct Answer: (a) 15/16 W
Solution: