ज्यामिति Part-6

Total Questions: 50

41. दी गई आकृति में, AB वृत्त का व्यास है। AP, A पर वृत्त की स्पर्श रेखा है। विस्तारित BC, स्पर्श रेखा से P पर मिलती है। ∠AOC = 36°। ∠BPQ ज्ञात कीजिए। [RRB NTPC 01/04/2021 (Morning)]

Correct Answer: (c) 108°
Solution:

42. उपर्युक्त आकृति में, BO और CO क्रमशः ∠DBC और ∠BCE के कोणीय समद्विभाजक हैं। x का माप _______ है। [RRB NTPC 01/04/2021 (Evening)]

Correct Answer: (c) 64°
Solution:

43. AB और CD एक वृत्त की दो जीवाएँ हैं। AB = 6 सेमी, CD = 8 सेमी और AB ∥ CD। यदि AB और CD के बीच की दूरी 7 सेमी है और वृत्त का केंद्र चतुर्भुज ABCD के अभ्यंतर में स्थित है, तो वृत्त की त्रिज्या (सेमी में) ज्ञात कीजिए। [RRB NTPC 03/04/2021 (Morning)]

Correct Answer: (a) 5 
Solution:

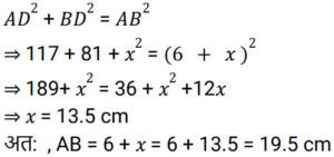
44. AB एक अर्धवृत्त का व्यास है। C, रेखा AB पर एक बिंदु है, AC = 6 सेमी। D अर्धवृत्त पर बिंदु है, जैसे कि CD, AB के लम्बवत है और CD = 9 सेमी। अर्धवृत्त का व्यास ज्ञात कीजिए। [RRB NTPC 03/04/2021 (Morning)]

Correct Answer: (d) 19.5 cm
Solution:

45. दी गई आकृति में, A, B और C एक वृत्त पर तीन बिंदु हैं। यदि AB = 3 सेमी और BC = 4 सेमी है, तो वृत्त की त्रिज्या का माप है: [RRB NTPC 06/04/2021 (Evening)]

Correct Answer: (d) 5/2 cm
Solution:

46. निम्नलिखित में से कौन से कथन सही हैं? [RRB NTPC 07/04/2021 (Evening)]

1. एक वृत्त की दो स्पर्श रेखाओं के बीच बना कोण 0° हो सकता है।
2. यदि एक तिर्यक रेखा, दो रेखाओं को इस प्रकार प्रतिच्छेदित करती है कि एकान्तर अंतः कोणों के युग्म बराबर हों, तो दोनों रेखाएं समानांतर होती हैं।
3. वृत्त के व्यास के सिरों पर स्पर्श करने वाली स्पर्श रेखाएं लम्बवत होती हैं।

Correct Answer: (b) 1 और 2 दोनों, लेकिन 3 नहीं
Solution:

47. एक समद्विबाहु △ABC में, यदि ∠A का माप आधार ∠B से दोगुना है, तो ∠C का माप होगा: [RRB NTPC 08/04/2021 (Morning)]

Correct Answer: (a) 45° 
Solution:

48. एक समान्तर चतुर्भुज के क्रमागत कोणों का योग बराबर होता है: [RRB NTPC 08/04/2021 (Morning)]

Correct Answer: (d) 180°
Solution:

49. एक त्रिभुज में वृत्त अन्तःस्थित और परिघ्वत है जिसकी भुजाएँ 3 सेमी, 4 सेमी और 5 सेमी हैं। अंतर्वृत्त की त्रिज्या का परिघ्वत की त्रिज्या से क्या अनुपात है? [RRB NTPC 08/04/2021 (Evening)]

Correct Answer: (c) 2 : 5
Solution:

50. दी गई आकृति में, AB और CD समानान्तर रेखाएँ हैं। O एक ऐसा बिंदु है जिसका कोण CDO = 70° और कोण DOB = 100° है। कोण ABO ज्ञात कीजिए। [RRB NTPC 08/04/2021 (Evening)]

Correct Answer: (c) 30°
Solution: