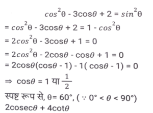
त्रिकोणमिति (भाग-II)Total Questions: 5021. यदि sinθ = a/√a² + b² है और 0⁰ < θ < 90⁰ है, तो secθ + tanθ का मान ज्ञात करें। [SSC CGL 07/06/2019 (Afternoon)](a)(b)(c)(d)Correct Answer: (a)Solution:22. यदि cos²θ - 3cosθ + 2 = sin²θ, 0⁰ < θ < 90⁰ है, तो 2cosecθ + 4cotθ का मान क्या होगा ? [SSC CGL 07/06/2019 (Afternoon)](a)(b)(c)(d)Correct Answer: (a)Solution:23. मान ज्ञात करें [SSC CGL 07/06/2019 (Morning)](a) 2secx(b) tanx(c) 2cosx(d) cotxCorrect Answer: (b) tanxSolution:24. यदि tan² θ - 3secθ + 3 = 0 है, और 0⁰ < x < 90⁰ है, तो sinθ + cotθ का मान क्या होगा ? [SSC CGL 07/06/2019 (Morning)](a)(b)(c)(d)Correct Answer: (a)Solution:25. यदि (1 + tan²θ) + (1 + (tan²θ)⁻¹) = k है, तो √k =? [SSC CGL 06/06/2019 (Evening)](a) cosecθ. secθ(b) cosecθ. cosθ(c) sinθ. cosθ(d) sinθ. secθCorrect Answer: (a) cosecθ. secθSolution:26. इसका मान क्या है? [SSC CGL 06/06/2019 (Evening)](a) 0(b) 1(c) 2(d) -1Correct Answer: (b) 1Solution:27. इसका मान क्या है? [SSC CGL 06/06/2019 (Evening)](a) sin²θ(b) 1(c) cocec²θ(d) 2Correct Answer: (b) 1Solution:28. इसका मान क्या होगा ? [SSC CGL 06/06/2019 (Morning)](a)(b)(c)(d)Correct Answer: (b)Solution:29. हल कीजिए । [SSC CGL 06/06/2019 (Morning)](a) secθ sinθ(b) secθ tanθ(c) secθ + tanθ(d) secθ - tanθCorrect Answer: (c) secθ + tanθSolution:30. इसका मान किसके बराबर है । [SSC CGL 06/06/2019 (Morning)](a) cosecθ sec²θ(b) sinθ sec²θ(c) sinθ cos²θ(d) cosecθ cos²θCorrect Answer: (b) sinθ sec²θSolution:Submit Quiz« Previous12345Next »