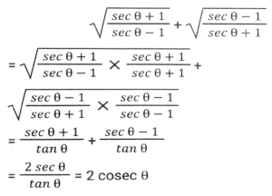
त्रिकोणमिति (भाग-III)Total Questions: 5031. मान ज्ञात कीजिए। [SSC CGL 18/09/2024 (2nd Shift)](a) cos35ᵒ(b) 1(c) sec55ᵒ(d) 0Correct Answer: (b) 1Solution:32. निम्न का मान ज्ञात करें [SSC CGL 18/09/2024 (2nd Shift)](a) sinA(b) cosA(c) sinA + cosA(d) cosecACorrect Answer: (d) cosecASolution:33. मान ज्ञात कीजिए। [SSC CGL 18/09/2024 (2nd Shift)](a) 2/5(b) 3/5(c) 1/5(d) 4/5Correct Answer: (b) 3/5Solution:34. दिया गया व्यंजक किस विकल्प के तुल्य है? [SSC CGL 18/09/2024 (3rd Shift)](a) 2 sinθ(b) 2 cosecθ(c) 2 tanθ(d) 2 tanθ secθCorrect Answer: (b) 2 cosecθSolution:35. इसका मान क्या है [SSC CGL 18/09/2024 (3rd Shift)](a)(b)(c)(d)Correct Answer: (a)Solution:36. व्यंजक sin x + cosec x = 2 हो, तो sin⁷ x + cosec⁷x का मान ज्ञात कीजिए। [SSC CGL 19/09/2024 (1st Shift)](a) 0(c) 2(b) 1(d) 4Correct Answer: (c) 2Solution:37. यदि sinA + cosA = √3 है, तो tanA + cotA + 2sinAcosA का मान ज्ञात कीजिए। [SSC CGL 19/09/2024 (1st Shift)](a) 6(b) 2(c) 1(d) 3Correct Answer: (d) 3Solution:38. यदि 3sin²θ + 5cos²θ = 4 और एक न्यून कोण है, तो tan θ का मान ज्ञात करें। [SSC CGL 19/09/2024 (1st Shift)](a) 1/√2(b) 1√3(c) 1/2(d) 1Correct Answer: (d) 1Solution:39. (2 sinθ + 3 cosθ) का अधिकतम मान ज्ञात कीजिए। [SSC CGL 19/09/2024 (2nd Shift)](a) √17(b) √11(c) 9(d) √13Correct Answer: (d) √13Solution:40. सरल कीजिए। [SSC CGL 19/09/2024 (2nd Shift)](a) 1/2(b) sin32ᵒ(c) 1(d) √3Correct Answer: (c) 1Solution:Submit Quiz« Previous12345Next »