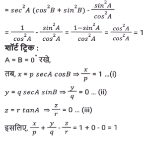
त्रिकोणमिति (भाग-IV)Total Questions: 5011. (cosecθ - sinθ) (secθ - cosθ) (tanθ + cotθ) का मान ज्ञात कीजिए। [SSC CGL 25/09/2024 (1st Shift)](a) 0(b) 1/2(c) 1(d) 2Correct Answer: (c) 1Solution:12. यदि m + 5 = sec²A cosec²A (1 - cos²A) (1 - sin²A) + 5 है, तो m का मान ज्ञात कीजिए। [SSC CGL 25/09/2024 (1st Shift)](a) 10(b) 0(c) 1(d) 5Correct Answer: (c) 1Solution:13. यदि cot²θ - 2cos²θ = 0, (0ᵒ < θ < 90ᵒ), तो θ का मान ज्ञात कीजिए। [SSC CGL 25/09/204 (1st Shift)](a) 45ᵒ(b) 60ᵒ(c) 90ᵒ(d) 30Correct Answer: (a) 45ᵒSolution:14. यदि x = p secA cosB, Y = q secA sinB और z = r tanA है, तो निम्नलिखित व्यंजक का मान क्या है? [SSC CGL 25/09/2024 (2nd Shift)]x²/y² + y²/q² - z²/r²(a) 1(b) p² + q² - r²(c) p² - q² + r²(d) 0Correct Answer: (a) 1Solution:15. 3sin15ᵒ - 4sin³15ᵒ का मान ज्ञात कीजिए। [SSC CGL 25/09/2024 (3rd Shift)](a) 2(b) 1/2(c) 1/√2(d) √2Correct Answer: (c) 1/√2Solution:16. यदि secθ + tanθ = x है, तो sinθ का मान ज्ञात कीजिए। [SSC CGL 25/09/2024 (3rd Shift)](a)(b)(c)(d)Correct Answer: (c)Solution:17. यदि (48° + k) एक न्यून कोण है और sin(48° + k) = cos13° है, तो k का मान (° में) कितना होगा? [SSC CGL 26/09/2024 (1st Shift)](a) 17(b) 23(c) 29(d) 37Correct Answer: (c) 29Solution:18. दिए गए व्यंजक का मान ज्ञात करें। [SSC CGL 26/09/202 (1st Shift)](a) 0(b) 3(c) 5(d) 2Correct Answer: (c) 5Solution:19. यदि A एक न्यून कोण है और tanA + cotA= 2 है, तो 7tan⁸A - 6cot⁸A + 8sec²A का मान ज्ञात कीजिए। [SSC CGL 26/09/2024 (1st Shift)](a) 6(b) 17(c) 16(d) 7Correct Answer: (b) 17Solution:20. मान किसके बराबर है ? [SSC CGL 26/09/2024 (2nd Shift)](a)(b)(c)(d)Correct Answer: (a)Solution:Submit Quiz« Previous12345Next »