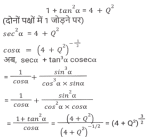
त्रिकोणमिति (भाग-IX)Total Questions: 5021. यदि tan² α = 3 +Q² है, तो sec α + tan³ α cosec α = ? [SSC CGL 07/12/2022 (1st Shift)](a)(b)(c)(d)Correct Answer: (d)Solution:22. यदि 1 + sinθ = mcosθ, है, तो sinθ का मान क्या होगा ? [SSC CGL 07/12/2022 (2nd Shift)](a)(b)(c)(d)Correct Answer: (a)Solution:23. निम्नलिखित व्यंजक का मान ज्ञात कीजिए [SSC CGL 07/12/2022 (3rd Shift)]5 (sin⁴θ + cos⁴θ) + 3 (sin⁶θ + cos⁶θ) + 19 sin²θ cos²θ(a) 8(b) 5(c) 6(d) 7Correct Answer: (b) 5Solution:24. यदि sin Y = x है, तो cos 2Y (जहाँ 0 ≤ Y ≤ 90º ) का मान क्या होगा? [SSC CGL 08/12/2022 (1st Shift)](a) (√2 - 1)x(b) √2x(c) 1 - 2x(d) 1 - 2x²Correct Answer: (d) 1 - 2x²Solution:25. यदि A + B = C है, तो tan A tan B tan C का मान क्या होगा? [SSC CGL 08/12/2022 (1st Shift)](a) tanC + tanA - tanB(b) tanC + tanA + tanB(c) tanA - tanB - tanC(d) tanC - tanA - tanBCorrect Answer: (d) tanC - tanA - tanBSolution:26. इसका मान क्या होगा ? [SSC CGL 08/12/2022 (1st Shift)](a) 4(b) 6(c) 8(d) 2Correct Answer: (d) 2Solution:27. θ = 135º; y = 15º है तो 2cos(θ) sin(y) का मान ज्ञात करे ? [SSC CGL 08/12/2022 (3rd Shift)](a)(b)(c)(d)Correct Answer: (b)Solution:28. इसका मान क्या होगा ? [SSC CGL 08/12/2022 (3rd Shift)](a) 9/4(b) 1/4(c) 2√5(d) √5Correct Answer: (c) 2√5Solution:29. यदि tan A tan B + (cos x)/(cosAcosB) =1 है, तो x = ? [SSC CGL 08/12/2022 (4th Shift)](a) B(b) A(c) A + B(d) A - BCorrect Answer: (c) A + BSolution:30. cos³60º - cos³240º - cos³360º = ? [SSC CGL 09/12/2022 (1st Shift)](a) -3/4(b) -7/5(c) -3/5(d) -9/7Correct Answer: (a) -3/4Solution:Submit Quiz« Previous12345Next »