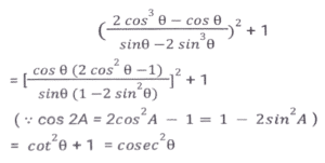
त्रिकोणमिति (भाग-V)Total Questions: 5011. मान ज्ञात कीजिए। [SSC CPO 28/06/2024 (1st Shift)](a) tan²θ(b) cotθ(c) tanθ(d) cot²θCorrect Answer: (d) cot²θSolution:12. मान कितना होगा ? [SSC CPO 28/06/2024 (1st Shift)](a) 77/144(b) 61/169(c) 87/169(d) 65/144Correct Answer: (d) 65/144Solution:13. यदि 4sin²θ = 3(1 + cosθ), 0º < θ < 90º है, तो √15 tanθ + 4/√15 sinθ + 2secθ का मान क्या है [SSC CPO 28/06/2024 (2nd Shift)](a) 24(b) 4√15(c) 8/√15(d) 8Correct Answer: (a) 24Solution:14. यदि tan θ + cot θ = 6 है, तो tan²θ + cot²θ का मान ज्ञात कीजिए। [SSC CPO 28/06/2024 (2nd Shift)](a) 24(b) 34(c) 20(d) 22Correct Answer: (b) 34Solution:15. (1 - cos²A) sec² का मान क्या है? [SSC CPO 28/06/2024 (2nd Shift)](a) cos²A cot²A(b) tan²A(c) cot²A(d) cosec²ACorrect Answer: (b) tan²ASolution:16. यदि sin x + cos x = √2 sin x है, तो, sin x - cos x का मान ज्ञात करें। [SSC CPO 28/06/2024 (2nd Shift)](a) √2 sin x(b) 2 sin x(c) -√2 cos x(d) √2 cos xCorrect Answer: (d) √2 cos xSolution:17. सरल कीजिए : [SSC CPO 28/06/2024 (3rd Shift)](a) 2(b) -1(c) -2(d) 1Correct Answer: (b) -1Solution:18. सरल कीजिए : [SSC CPO 28/06/2024 (3rd Shift)](a) 1 - tanA secA(b) 1 - cosA cotA(c) 1 - sinA tanA(d) 1 - sinA cosACorrect Answer: (d) 1 - sinA cosASolution:19. यदि sin (x + y) = 1 और cos (x - y) = √3/2 है, तो 'y' का मान ज्ञात कीजिए। [SSC CPO 28/06/2024 (3rd Shift)](a) 90º(b) 60º(c) 30º(d) 20ºCorrect Answer: (c) 30ºSolution:20. मान ज्ञात कीजिए। [SSC CPO 28/06/2024 (3rd Shift)](a) sin²θ(b) sec²θ(c) cosec²θ(d) cot²θCorrect Answer: (c) cosec²θSolution:Submit Quiz« Previous12345Next »