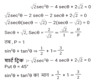
त्रिकोणमिति (भाग-VIII)Total Questions: 5031. मान ज्ञात कीजिए। [SSC CHSL 14/03/2023 (2nd Shift)](a) 5(b) 1(c) 6(d) 0Correct Answer: (c) 6Solution:32. यदि - sinθ + cosecθ = 6, तो sinθ + cosecθ का मान क्या है ? [SSC CHSL 14/03/2023 (2nd Shift)](a) 6(b) √40(c) √34(d) √38Correct Answer: (b) √40Solution:33. यदि √2sec²θ - 4 secθ + 2√2 = 0, तो sin²θ + tan²θ का मान क्या है? [SSC CHSL 14/03/2023 (3rd Shift)](a) 1/2(b) 2/3(c) 5/2(d) 3/2Correct Answer: (d) 3/2Solution:34. इसका मान क्या है? [SSC CHSL 14/03/2023 (4th Shift)](a)(b)(c)(d)Correct Answer: (c)Solution:35. निम्नलिखित व्यंजक को सरल कीजिए: [SSC CHSL 15/03/2023 (1st Shift)](a) 2 sinA(b) 2 cosA(c) 2 secA(d) 2 tanACorrect Answer: (c) 2 secASolution:36. यदि sec x + tan x = 5 और cosec y - cot y = 1/3, तो (sec x + cosec y) - (tan x - cot y). का मान ज्ञात कीजिए। [SSC CHSL 15/03/2023 (1st Shift)](a) 2.2(b) 3.2(c) 4.2(d) 3.1Correct Answer: (b) 3.2Solution:37. यदि A = a cosecθ + b cotθ और B = a cotθ + b cosecθ, A² - B² का मान क्या है? [SSC CHSL 15/03/2023 (4th Shift)](a) ab(b) (a + b)(c) (a² - b²)(d) (a - b)Correct Answer: (c) (a² - b²)Solution:38. यदि cosecθ + cotθ = s, तो cosθ का मान क्या है ? [SSC CHSL 16/03/2023 (2nd Shift)](a)(b)(c)(d)Correct Answer: (a)Solution:39. यदि sec x + tan x = √3 और x, 0° और 90° के बीच स्थित है, तो tan x का मान ज्ञात कीजिए । [SSC CHSL 16/03/2023 (3rd Shift)](a) √3(b) 1(c) 1/√3(d) 0Correct Answer: (c) 1/√3Solution:40. एक कोण के पूरक कोण का Tan किस कोण के समान होता है? [SSC CHSL 17/03/2023 (1st Shift)](a) उस कोण के sin के(b) उस कोण के cot के(c) उस कोण के cos के(d) उस कोण के cosec केCorrect Answer: (b) उस कोण के cot केSolution:Tan का पूरक कोण = cotSubmit Quiz« Previous12345Next »