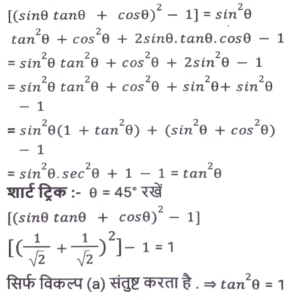
त्रिकोणमिति (भाग-X)Total Questions: 5011. यदि 4 Cosθ + 3Sinθ = x और 4 Sinθ - 3 Cosθ = y है तो x² + y². का मान ज्ञात कीजिए [SSC CPO 11/11/2022 (Morning)](a) 16(b) 9(c) 25(d) 1Correct Answer: (c) 25Solution:12. निम्न का मान ज्ञात कीजिए । [SSC CPO 11/11/2022 (Afternoon)](a) 1 - tan²θ(b) tan²θ - 1(c) cot²θ - 1(d) 1 - cot²θCorrect Answer: (c) cot²θ - 1Solution:13. इसका मान क्या होगा ? [SSC CPO 11/11/2022 (Afternoon)](a) 1/2(b) 3(c) 0(d) 2Correct Answer: (b) 3Solution:14. यदि 1 + sin²θ - 3sin²θ cosθ = 0 तो cotθ का मान क्या होगा? [SSC CPO 11/11/2022 (Evening)](a) 0(b) 1(c) 1/2(d) 1/3Correct Answer: (b) 1Solution:15. मान ज्ञात करें। [SSC CPO 11/11/2022 (Evening)](a) 11/6(b) 5/6(c) 6/11(d) 6/5Correct Answer: (b) 5/6Solution:16. निम्नलिखित में से कौन [ _____________ ] के बराबर है? [SSC CGL Tier II (08/08/2022)](a) cosecθ. secθ(b) secθ. tanθ(c) cosecθ. tanθ(d) cotθ. secθCorrect Answer: (a) cosecθ. secθSolution:17. इसका मान क्या है? [SSCC CGL Tier II (08/08/2022)](a) 3(b) 2(c) 5(d) 4Correct Answer: (b) 2Solution:18. यदि √3tanθ = 3sinθ, हो, तो sin²θ - cos²θ का मान क्या है? [SSC CGL Tier II (08/08/2022)](a) 1/5(b) 1/4(c) 1/2(d) 1/3Correct Answer: (d) 1/3Solution:19. निम्नलिखित में से कौन 1/tanθ + tanθ के बराबर है? [SSC CGL Tier II (08/08/2022)](a) secθ. cosecθ(b) 1(c) cosecθ/secθ(d) tan²θCorrect Answer: (a) secθ. cosecθSolution:20. [(sinθ tanθ + cosθ)² - 1] इनमें से किसके बराबर हैं ? [Graduate Level 02/08/2022 (Shift-3)](a) tan²θ(b) cosecθ(c) sec²θ(d) secθCorrect Answer: (a) tan²θSolution:Submit Quiz« Previous12345Next »