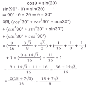
त्रिकोणमिति (भाग-X)Total Questions: 5021. इसका मान क्या है? [Graduate Level 03/08/2022 (Shift-3)](a) 2(b) 1/2(c) 1/4(d) 4Correct Answer: (b) 1/2Solution:22. हल कीजिए । [Graduate Level 04/08/2022 (Shift-4)](a) tanθ(b) 2tanθ(c) cotθ(d) 2cotθCorrect Answer: (a) tanθSolution:23. निम्न का मान ज्ञात कीजिए। [Graduate Level 04/08/2022 (Shift-4)](a) sec x(b) tan x(c) cosec x(d) cot xCorrect Answer: (c) cosec xSolution:24. यदि cosθ = sin(2θ) ≠ 0, cos⁴θ + sin⁴θ + cos³θ + sin³θ + sin²θ + cos²θ + sinθ + cosθ का मान क्या है ? [Graduate Level 05/08/2022 (Shift-3)](a)(b)(c)(d)Correct Answer: (b)Solution:25. हल करें । [SSC CHSL 25/05/2022 (Morning)](a) 5/12(b) -(5/12)(c) 1/5(d) -(1/12)Correct Answer: (b) -(5/12)Solution:26. यदि secθ - cosθ = 14 और 14 secθ = x, तो x का मान क्या है? [SSC CHSL 25/05/2022 (Afternoon)](a) tan²θ(b) sec²θ(c) 2 secθ(d) 2 tanθCorrect Answer: (a) tan²θSolution:27. (1 + tan10º) (1 + tan35º) का मान ज्ञात कीजिए ? [SSC CHSL 25/05/2022 (Evening)](a) 1/2(b) 3/4(c) 1(d) 2Correct Answer: (d) 2Solution:28. इसका मान क्या है? [SSC CHSL 27/05/2022 (Morning)](a) tan3θ(b) cot3θ(c) tanθ(d) cotθCorrect Answer: (a) tan3θSolution:29. यदि sinx - 3cosx = √3cosx, तो cot x का मान क्या है ? [SSC CHSL 31/05/2022 (Morning)](a)(b)(c)(d)Correct Answer: (d)Solution:30. (4sin³x - 3sinx + sin3x) का मान क्या है ? [SSC CHSL 31/05/2022 (Afternoon)](a) 1(b) 0(c) 4(d) 3Correct Answer: (b) 0Solution:Submit Quiz« Previous12345Next »