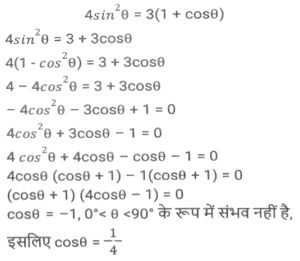
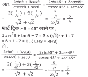
त्रिकोणमिति (भाग-X)Total Questions: 5031. सरलीकृत मान क्या है ? [SSC CHSL 31/05/2022 (Evening)](a) 4(b) 2(c) 0(d) 1Correct Answer: (c) 0Solution:32. sin2θ (tanθ + cotθ) का मान ज्ञात कीजिए। [SSC CHSL 01/06/2022 (Morning)](a) 2/3(b) 1(c) 1/2(d) 2Correct Answer: (d) 2Solution:33. 2 cosA cosB = cos(A+B) + cos(A-B) का प्रयोग करके, cos75º cos 15º का मान ज्ञात कीजिए। [SSC CHSL 01/06/2022 (Afternoon)](a) 1/2(b) 1/4(c) √3/2(d) √3/4Correct Answer: (b) 1/4Solution:34. यदि 1 + tanθ = √3, है तो √3cotθ - 1 = ? [SSC CHSL 03/06/2022 (Afternoon)](a)(b)(c)(d)Correct Answer: (a)Solution:35. यदि cosec²θ + cot²θ = 5/3 है, तो cot 2θ का मान ज्ञात कीजिए। [SSC CHSL 07/06/2022 (Morning)](a) 1/√3(b) -(1/√3(c) 2/√3(d) -(2/√3)Correct Answer: (b) -(1/√3Solution:36. (cosecθ - cotθ)² = ?, 0º < θ < 90º [SSC CHSL 09/06/2022 (Evening)](a)(b)(c)(d)Correct Answer: (b)Solution:37. मान ज्ञात कीजिए। [SSC CHSL 10/06/2022 (Morning)] (a)(b)(c)(d)Correct Answer: (a)Solution:38. यदि 4sin²θ = 3 (1 + cosθ), 0º < θ < 90º, तो (2tanθ + 4sinθ - secθ) का मान क्या है? [SSC CHSL 11/04/2022 (Morning)](a) 3√15 - 4(b) 15√3 - 4(c) 15√3 + 3(d) 4√15 - 3Correct Answer: (a) 3√15 - 4Solution:39. इसका मान क्या है? [SSC CHSL 12/04/2022 (Morning)](a) 10(b) 5/2(c) 5/4(d) 4√2Correct Answer: (c) 5/4Solution:40. इसका मान क्या होगा ? [SSC CHSL 12/04/2022 (Afternoon)](a) 1 - secθ + tanθ(b) 1 - secθ - tanθ(c) 1 + secθ - tanθ(d) 1 + secθ + tanθCorrect Answer: (d) 1 + secθ + tanθSolution:Submit Quiz« Previous12345Next »