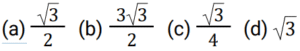
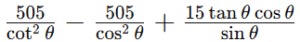
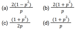
त्रिकोणमितिTotal Questions: 5021. तो cosec x का मान ज्ञात कीजिए [Group D 30/09/2022 (Morning)]यदि sin²x + 3cos²x = 2, और (0° < x < 90°), है (a)(b)(c)(d)Correct Answer: (d)Solution:Cosecx = cosec45° = √222. मान ज्ञात कीजिए [Group D 06/10/2022 (Evening)](a) –520 (b) 52 (c) 490 (d) –490Correct Answer: (d) –490Solution:23. secθ + tanθ = p, है तो 4secθ का मान ज्ञात कीजिए। [Group D 07/10/2022 (Morning)](a)(b)(c)(d)Correct Answer: (b)Solution:24. दिए गए समकोण त्रिभुज में, जहाँ दी गई भुजाओं की लम्बाई 15 सेमी और 8 सेमी है, cos α + cot α का मान ज्ञात कीजिए। (b)(a)(c)(d)Correct Answer: (b)Solution:25. यदि sin 2x = cos 60° cos 30° + sin 60° sin 30° है, तो निम्नलिखित में से कौन सा tan x + sec x का सम्भावित मान हो सकता है। (जहां 0 < x < 90°) [NTPC CBT II Level 5 (12/06/2022) Shift 2](a)(b)(c)(d)Correct Answer: (d)Solution:26. 5sin14°sec76° + 3cot15°cot75° + 2tan45° का मान क्या है? [NTPC CBT-I 28/12/2020 (Morning)](a) 1 (b) 8 (c) 10(d) 0Correct Answer: (c) 10Solution:27. सरल करें → cos20°cos40°cos80°. [NTPC CBT-I 29/12/2020 (Morning)](a) 1/2(b) 1/32(c) 1(d) 1/4Correct Answer: (c) 1Solution:28. 2(sin⁶θ + cos⁶θ) - 3(sin⁴θ + cos⁴θ) किसके समतुल्य है ? [NTPC CBT-I 30/12/2020 (Evening)](a) 1 (b) –1(c) 3 (d) 2Correct Answer: (b) –1Solution:29. मान ज्ञात कीजिए ? [NTPC CBT-I 04/01/2021 (Evening)](a) 2 (b) 2/5(c) 1/5(d) 6Correct Answer: (b) 2/5Solution:30. sin15° का मान ज्ञात कीजिए ? [NTPC CBT-I 05/01/2021 (Morning)](a)(b)(c)(d)Correct Answer: (a)Solution:Submit Quiz« Previous12345Next »