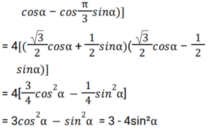
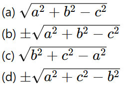
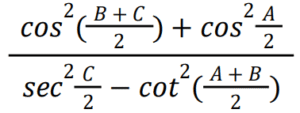
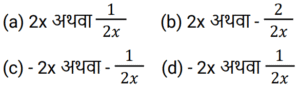
त्रिकोणमितिTotal Questions: 5031. किसी भी त्रिभुज ABC में, a + b + c = 2s सामान्य संकेतक के साथ, तो sin (𝐴/2) ? [NTPC CBT - I 07/01/2021 (Evening)](a)(b)(c)(d)Correct Answer: (b)Solution:32. समीकरण के लिए A का मान ज्ञात कीजिये? [NTPC CBT - I 07/01/2021 (Evening)]tanA + tan2A + tan3A = tanA tan2A tan3A (a)(b)(c)(d)Correct Answer: (b)Solution:33. यदि A, B और C, Δ ABC के आंतरिक कोण हैं, तो निम्न को सरलीकृत कीजिये। [NTPC CBT - I 10/01/2021 (Morning)](a) 1 (b) 2 (c) 0 (d) परिभाषित नहीं हैCorrect Answer: (a) 1 Solution:34. यदि x = r sinA cosC, y = r sinA sinC, और z = r cosA, तो 𝑥² + 𝑦² + 𝑧² का मान ज्ञात कीजिए? [NTPC CBT - I 11/01/2021 (Morning)](a) 𝑟²(b) 2r (c) 2r² (d) 0Correct Answer: (a) 𝑟²Solution:35. मान ज्ञात कीजिये? [NTPC CBT - I 12/01/2021 (Morning)](a) A = 10°, B = 45°(b) A = 50°, B = 10°(c) A = 45°, B = 30°(d) A = 45°, B = 15°Correct Answer: (d) A = 45°, B = 15°Solution:36. यदि sin(3x - 20)° = cos(20 - 3y)° तो x - y का मान ज्ञात कीजिये? [NTPC CBT - I 12/01/2021 (Evening)](a) 20° (b) 60° (c) 30°(d) 45°Correct Answer: (c) 30°Solution:37. यदि acosθ − bsinθ = c तो asinθ + bcosθ का मान ज्ञात कीजिये ? [NTPC CBT - I 16/01/2021 (Morning)](a)(b)(c)(d)Correct Answer: (b)Solution:38. निम्नलिखित व्यंजक का मान क्या है? [NTPC CBT - I 18/01/2021 (Evening)](a)(b)(c)(d)Correct Answer: (c)Solution:39. मान क्या है ? [NTPC CBT - I 18/01/2021 (Evening)](a) 3 + sin²α(b) 3 + 4sin²α(c) 3 - sin²α(d) 3 - 4sin²αCorrect Answer: (d) 3 - 4sin²αSolution:40. तब secθ - tanθ किसके समतुल्य है ? [NTPC CBT - I 19/01/2021 (Morning)] (a)(b)(c)(d)Correct Answer: (d)Solution:Submit Quiz« Previous12345Next »