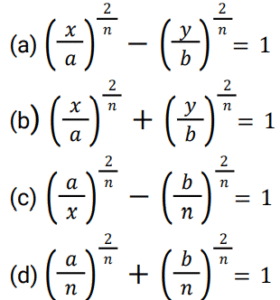
त्रिकोणमिति Part-2Total Questions: 5031. (cosec x + cot x + 1)(sec x – tan x –1) का मान ज्ञात कीजिए। [Group D 09/09/2022 (Afternoon)](a) –2 (b) –1 (c) 0 (d) 1Correct Answer: (a) –2 32. मान ज्ञात कीजिए [Group D 13/09/2022 (Morning)](a) –2 (b) –8(c) 4 (d) –4Correct Answer: (b) –833. sin²θ+cos²θ−(sec²θ−tan²θ)+tanθcosθ−sinθ का मान ज्ञात कीजिए। [Group D 13/09/2022 (Evening)](a) 0 (b) 4 sinθ cosθ (c) –1 (d) sec²θCorrect Answer: (a) 0 34. sec² + (cosec² -1) - (1 + tan²θ) cot²θ =________. [Group D 16/09/2022 (Morning)](a) 1 (b) 0 (c) sec²θ (d) cot²θCorrect Answer: (b) 0 35. मान ज्ञात कीजिए। [Group D 16/09/2022 (Afternoon)](a) 2 cosec x (b) 2 sin x(c) cot x (d) tan xCorrect Answer: (b) 2 sin x36. मान ज्ञात कीजिए। [Group D 19/09/2022 (Morning)](a) tanθ (b) 0 (c) –1(d) 2 sinθ cosθCorrect Answer: (c) –137. यदि cot A + cos A = m और cot A – cos A = n है, तो निम्नलिखित में से कौन सा सत्य है? [Group D 19/09/2022 (Evening)](a) m² + n² = 4mn(b) (m² – n²)² = 16mn(c) (m² – n²)² = 4mn(d) m² – n² = 16mnCorrect Answer: (b) (m² – n²)² = 16mn38. यदि 𝑥 = 𝑎 secⁿ 𝜃 , 𝑦 = 𝑏 tanⁿ 𝜃 तब : [ Group D 20/09/2022 (Morning) ](a)(b)(c)(d)Correct Answer: (a)39. (sinx+secx)²+(cosecx+cosx)² का मान ज्ञात कीजिए। [Group D 20/09/2022 ( Afternoon ) ](a) (1 – sec x cosec x)²(b) (2 + sec x cosec x)²(c) (sec x cosec x + 1)²(d) (2 – sec x cosec x)²Correct Answer: (c) (sec x cosec x + 1)²40. tan⁶A+3tan²Asec²A+1 का मान ज्ञात कीजिए। [Group D 22/09/2022 (Afternoon)](a) sec⁶A(b) sec⁴A + tan²A(c) sec⁵A(d) sec⁴ACorrect Answer: (a) sec⁶ASubmit Quiz« Previous12345Next »