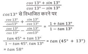
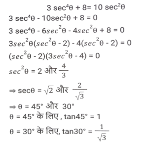
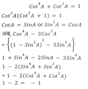
त्रिकोणमितिTotal Questions: 5011. मान ज्ञात कीजिए। [SSC CHSL 05/07/2024 (2nd Shift)](a)(b)(c)(d)Correct Answer: (d)Solution:12. मान ज्ञात कीजिए। [SSC CHSL 03/07/2024 (3rd Shift)](a) tan²θ(b) cot²θ(c) tan θ(d) cot θCorrect Answer: (d) cot θSolution:13. मान ज्ञात करें। [SSC CHSL 01/07/2021 (3rd Shift)](a) 2(b) 0(c) 3(d) 1Correct Answer: (c) 3Solution:14. इसका मान क्या है ? [SSC CPO 29/06/2024 (3rd Shift)](a) 0(b) 1(c) -1(d) 2Correct Answer: (c) -1Solution:15. हल कीजिए । [SSC CPO 28/06/2024 (1st Shift)](a) cot58⁰(b) tan32⁰(c) tan58⁰(d) cos26⁰Correct Answer: (c) tan58⁰Solution:16. यदि (sin x + sin y) = a और (cos x + cos y) = b है, तो (sin x sin y + cos x cos y) का मान ज्ञात कीजिए। [SSC CPO 27/06/2024 (2nd Shift)](a)(b)(c)(d)Correct Answer: (c)Solution:17. व्यंजक का एक मान ___________ है। [SSC CPO 27/06/2024 (1st Shift)](a)(b)(c)(d)Correct Answer: (a)Solution:18. यदि 3sec⁴θ + 8 = 10 sec²θ, है, तो tanθ का मान क्या होगा? [Graduate Level 26/06/2024 (Shift-4)](a)(b)(c)(d)Correct Answer: (d)Solution:19. यदि cot⁴A + cot²A = 1, है, तो cos⁴A - 3cos²A का मान ज्ञात कीजिए। [SSC CHSL Tier II 02/11/2023 ](a) -1(b) -2(c) 2(d) 1Correct Answer: (a) -1Solution:20. यदि cot²θ = 1 - e² , है, तो cosec θ + cot³θ sec θ का मान __________ है। [SSC CPO 05/10/2023 (3rd Shift)](a)(b)(c)(d)Correct Answer: (a)Solution:Submit Quiz« Previous12345Next »