दिल्ली अधीनस्थ सेवा चयन बोर्ड परीक्षा, 2022 PGT उर्दू (महिला) 03-11-2022 (Shift-II)

Total Questions: 100

41. 13 वर्ष पहले 5 सदस्यों के परिवार की औसत आयु 23 वर्ष थी। 2 वर्ष के अंतर से दो बच्चों के पैदा होने पर, परिवार की वर्तमान औसत आयु 28 वर्ष हो गई। सबसे छोटे बच्चे की वर्तमान आयु (वर्षों में) क्या है?

Correct Answer: (b) 7
Solution:13 वर्ष पहले 5 सदस्यों की आयु का योग = 23×5=115 
इन 5 सदस्यों की वर्तमान आयु का योग = 115+13×5 = 180
बच्चों के साथ परिवार की आयु का योग = 28×(5+2) = 196

प्रश्नानुसार,
मान लीजिए बच्चों की आयु क्रमशः a और b है।
बच्चों की आयु का योग a+b = 196−180 = 16 …........(i)
बच्चों की आयु का अंतर a−b = 2 ............…(ii)

दोनों समीकरणों को हल करने पर:
a = 9 और b = 7

अतः छोटे बच्चे की आयु = 7 वर्ष।

42. एक आयताकार भूखंड का विकर्ण और एक भुजा क्रमशः 65 m और 63 m है। ₹45 प्रति मीटर की दर से इसमें बाड़ लगाने की लागत क्या होगी?

Correct Answer: (b) ₹7,110
Solution:दिया है - विकर्ण (d) = 65m
लंबाई (ℓ) = 63m
आयत की चौड़ाई (b)


b = 256= 16m
अतः बाड़ लगाने की लागत:
अतः सही उत्तर: (b) ₹7,110

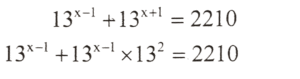
43. यदि 13ˣ⁻¹−13ˣ⁺¹ = 2210 है, तो x का मान ज्ञात कीजिए।

Correct Answer: (a) 2
Solution:प्रश्नानुसार,

घातों की तुलना करने पर:

44. यदि कोई राशि 9% वार्षिक की साधारण ब्याज दर पर एक वर्ष में ₹28,885 हो जाती है, तो राशि क्या है?

Correct Answer: (a) ₹26,500
Solution:दिया है -

45. एक धनराशि को साझेदारो A, B और C में 1/4 : 1/6 : 1/3 के अनुपात में बाँटा जाना है। यदि A को B से ₹1,200 अधिक मिलते हैं, तो C का हिस्सा कितना है?

Correct Answer: (a) ₹4,800
Solution:A : B : C = 1/4 : 1/6 : 1/3

दिया है -

46. एक बैग में ₹2, ₹5 और ₹10 के सिक्के 3 : 5 : 7 के अनुपात में हैं, जिनकी राशि ₹1,212 है। तो ₹10 के सिक्कों की संख्या कितनी है?

Correct Answer: (b) 84
Solution:माना बैग में ₹2, ₹5 और ₹10 के सिक्के क्रमशः 3x, 5x, 7x
प्रश्नानुसार:
अतः ₹10 के सिक्कों की संख्या =

47. तीन संख्याएँ 3 : 4 : 5 के अनुपात में हैं। यदि उनका योग 516 है, तो उनका LCM ज्ञात कीजिए।

Correct Answer: (c) 2580
Solution:माना संख्याएँ क्रमशः प्रश्नानुसार:
संख्याओं का LCM:

48. A एक निश्चित कार्य को 42 दिनों में कर सकता है। A से B, 40% अधिक कुशल है। वे एक साथ उसी कार्य को कितने दिनों में कर लेंगे?

Correct Answer: (a) 17.5
Solution:प्रश्नानुसार:
A और B की कुशलता का अनुपात = = 17.5 दिन

49. दिए गए पाई-चार्टों का ध्यानपूर्वक अध्ययन करें और नीचे दिए गए प्रश्न का उत्तर दें।

मांसपेशियों में प्रोटीन का वितरण का हड्डियों में प्रोटीन के वितरण से अनुपात क्या है?

Correct Answer: (c) 2 :1
Solution:प्रश्नानुसार:
मांसपेशियों में प्रोटीन का हड्डियों में प्रोटीन से अनुपात
= (0.34) × 20​/100 : (0.17) × 20/100

50. एक फुटकर विक्रेता, एक थोक व्यापारी से 60 पेन्सिलों के अंकित मूल्य पर 75 पेन्सिलों खरीदता है। यदि वह इन पेन्सिलों को 6% का छूट देकर बेचता है, तो उसका लाभ प्रतिशत क्या है?

Correct Answer: (d) 17.5%
Solution:प्रश्नानुसार:
6% की छूट देकर बेचने पर लाभ प्रतिशत:
= 5x × 94 4x​ / 100 × 100
=
0.7x / 4x× 100
= 70 / 4 = 17.5% लाभ