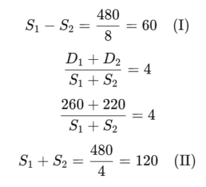
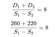
दिल्ली अधीनस्थ सेवा चयन बोर्ड परीक्षा, 2022 PGT उर्दू (महिला) 03-11-2022 (Shift-II)Total Questions: 10051. P और Q एक कार्य को क्रमशः 14 दिन और 21 दिन में पूरा कर सकते हैं। उन्होंने कार्य करना शुरू कर दिया लेकिन 4 दिनों के बाद P को कार्य छोड़ना पड़ा और Q ने अकेले शेष कार्य को पूरा किया। संपूर्ण कार्य कितने दिनों में पूरा किया गया?(a) 11(b) 15(c) 12(d) 14Correct Answer: (b) 15Solution:52. दिया गया लाइन-ग्राफ 2015 से 2020 तक 6 वर्षों की अवधि में परीक्षा में बैठने वाले उम्मीदवारों की कुल संख्या में से परीक्षा उत्तीर्ण करने वाले उम्मीदवारों की संख्या का प्रतिशत दर्शाता है। ग्राफ का अध्ययन करें और नीचे दिए गए प्रश्न का उत्तर दें।यदि 2018 में उत्तीर्ण होने वाले उम्मीदवारों की संख्या 32,400 थी, तो 2018 में परीक्षा में बैठने वाले उम्मीदवारों की संख्या क्या थी?(a) 72,000(b) 84,000(c) 59,600(d) 68,500Correct Answer: (a) 72,000Solution:53. एक व्यक्ति एक यात्रा को 13 घंटे में पूरा कर सकता है। वह यात्रा के पहले एक-चौथाई भाग को 50 km/h की चाल से और शेष को 45 km/h की चाल से तय करता है। उसकी यात्रा की कुल दूरी (km में) क्या है?(a) 750(b) 900(c) 600(d) 450Correct Answer: (c) 600Solution:माना कुल दूरी = 4x प्रश्नानुसार,अतः कुल दूरी = 4x = 4 × 150 = 600 km सही उत्तर: (c) 600 km54. 20 और 65 के बीच की अभाज्य संख्याओं का औसत क्या है?(a) 41.9(b) 42.4(c) 44.5(d) 43.6Correct Answer: (b) 42.4Solution:20 और 65 के बीच की अभाज्य संख्याओं का औसत = संख्याओं का योग / संख्याओं की संख्या = 23+29+31+37+41+43+47+53+59+61/ 10 = 424 / 10 = 42.4सही उत्तर: (b) 42.455. 260m और 220m लंबाई की दो रेलगाड़ियाँ समान और विपरीत दिशाओं में चलते हुए एक-दूसरे को पूरी तरह से क्रमशः 8 सेकंड और 4 सेकंड में पार करती हैं। धीमी रेलगाड़ी की चाल ( km/h में ) क्या है?(a) 108(b) 150(c) 240(d) 180Correct Answer: (a) 108Solution:दिया है - पहली रेलगाड़ी की लंबाई = 260 m दूसरी रेलगाड़ी की लंबाई = 220 m माना इनकी चाल क्रमशः S₁ और S₂ है।प्रश्नानुसार, By solving equations (I) and (II): धीमी रेलगाड़ी की चाल:धीमी रेलगाड़ी की चाल:सही उत्तर: (a) 108 km/h56. एक व्यापारी ने अपने माल का तीन-चौथाई 20% के लाभ पर और शेष माल को क्रय मूल्य पर बेच दिया। पूरे लेनदेन में उसका लाभ प्रतिशत क्या है?(a) 12%(b) 17%(c) 13%(d) 15%Correct Answer: (d) 15%Solution:57. जब किसी उत्पाद की कीमत में 8% की कमी की गई, तो बेचे गए उत्पाद की संख्या में 15% की वृद्धि हुई। कुल आय पर क्या प्रभाव पड़ा?(a) आय में 5.8% की वृद्धि(b) आय में 6.5% की वृद्धि(c) आय में 6.5% की कमी(d) आय में 5.8% की कमीCorrect Answer: (a) आय में 5.8% की वृद्धिSolution:58. यदि ₹75,00 की राशि पर ब्याज की 6% वार्षिक दर से, वार्षिक रूप से चक्रवृद्धि किया जाता है, तो वह समय ज्ञात कीजिए जिसमें चक्रवृद्धि ब्याज ₹927 हो जाता है?(a) 30 महीने(b) 20 महीने(c) 15 महीने(d) 24 महीनेCorrect Answer: (d) 24 महीनेSolution:दिया है:P = ₹7500,R = 6% वार्षिक,C.I. = ₹927घातों की तुलना करने पर: T = 2 वर्ष = 24 महीनेसही उत्तर: (d) 24 महीने59. एक वस्तु की कीमत में 16% की वृद्धि हो जाती है और फिर प्रत्येक 5% की दो क्रमिक छूट दी जाती है। अंततः वस्तु की कीमत में कितनी वृद्धि या कमी होती है?(a) 5.25% की वृद्धि(b) 4.69% की वृद्धि(c) 5.25% की कमी(d) 4.69% की कमीCorrect Answer: (b) 4.69% की वृद्धिSolution:60. यदि 35cm ऊँचाई वाले एक बेलन का वक्र पृष्ठीय क्षेत्रफल 2200 cm² है, तो इसका आयतन क्या होगा?(a) 12,500 cm³(b) 12,100 cm³(c) 11,000 cm³(d) 11,770 cm³Correct Answer: (c) 11,000 cm³Solution:दिया है - बेलन के वक्र पृष्ठ का क्षेत्रफल = 2200 cm² ऊँचाई (h) = 35 cm, आधार त्रिज्या = rप्रश्नानुसार - बेलन के वक्र पृष्ठ का क्षेत्रफल:बेलन का आयतन:सही उत्तर: (c) 11,000 cm³Submit Quiz« Previous12345678910Next »