दिल्ली अधीनस्थ सेवा चयन बोर्ड परीक्षा, 2023 (PGT मनोविज्ञान – महिला) 22-06-2023 (Shift-II)

Total Questions: 100

41. एक आदमी आधी यात्रा 70 km/h की चाल से और शेष आधी यात्रा 30 km/h की चाल से तय करता है। पूरी यात्रा में उसकी औसत चाल क्या है?

Correct Answer: (b) 42 km/h
Solution:माना यात्रा की कुल दूरी 2d है।

प्रश्नानुसार,

आधी दूरी 70 km/h से तथा आधी दूरी 30 km/h से तय करता है।

यदि समय t₁t₂ हो तो आधी दूरी तय करने में लगा समय -

t1 = d/70

t2 = d/30

औसत चाल = कुल दूरी​/कुल समय

= 2d ​/ (d/70)+(d/30)

2d / 30d+70d/2100 

= 2×2100 / 30+70 

= 4200/100

= 42km/h

अतः औसत चाल = 42 km/h।

42. एक परिवार की औसत मासिक आय वर्ष के पहले 2 महीनों के दौरान Rs. 5,000, अगले 4 महीनों के दौरान Rs. 6,000 और अंतिम 6 महीनों के दौरान Rs. 7,000 थी। यदि कुल बचत Rs. 10,000 है, तो औसत मासिक व्यय ज्ञात कीजिए।

Correct Answer: (a) Rs. 5,500
Solution:

प्रश्नानुसार,

  • 2 महीनों के दौरान कुल आय

5000×2=10,000

  • 4 महीनों के दौरान कुल आय

6000×4=24,0006000 

  • अंतिम 6 महीनों के दौरान कुल आय

7000×6=42,0007000

  • कुल आय

10,000+24,000+42,000=76,000

  • आय = व्यय + बचत
  • कुल बचत = 10,000
  • कुल व्यय

76,000−10,000=66,000

  • औसत मासिक व्यय

66,000/12=5,500₹

43. T, ₹ 1,500 की कीमत वाला इयरफोन खरीदना चाहता है और दुकानदार इसे ₹ 1,450 में बेचने के लिए तैयार हो जाता है। दुकानदार T को कितने प्रतिशत की छूट दे रहा है?

Correct Answer: (c) 10/3%
Solution:

दिया है -

  • अंकित मूल्य (MP) = 1500
  • क्रय मूल्य (SP) = 1450

प्रश्नानुसार,

छूट=अंकित मूल्य (MP)−क्रय मूल्य (SP)

= 1500−1450=50

= (50​/1500)×100

छूट % =  10 1/3%

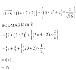
44. का मान ज्ञात कीजिए?

Correct Answer: (c) 19
Solution:

BODMAS नियम से : 

= (1+6+(14÷7+2))+((5×4+2×2/√16)

= (7+(2+2))+(5×4+2×2/4)

= (7+4)+(20+2×1/2)

= = 19

= 19

अतः उत्तर (c) सही है।

45. A एक काम को 120 दिनों में पूरा कर सकता है और B उसे 150 दिनों में पूरा कर सकता है। वे 20 दिनों तक एक साथ काम करते हैं। फिर B काम छोड़ देता है और A अकेले काम जारी रखता है। 12 दिनों बाद C, A के साथ काम में शामिल हो जाता है और काम को पूरा होने में 48 और दिन लग जाते हैं। यदि C अकेले काम कर सकता है, तो वह इसे कितने दिनों में पूरा कर सकता है?

Correct Answer: (c) 240 दिनों में
Solution:

प्रश्नानुसार,

  • A काम करता है = (20 + 12 + 48) = 80 दिन के लिए
  • B काम करता है = 20 दिन के लिए
  • C काम करता है = 48 दिन के लिए

A काम को 120 दिनों में पूरा कर सकता है

A का 1 दिन का काम = 1/120

का 80 दिन का काम = 80/20 = 2/3

B काम को 150 दिनों में पूरा कर सकता है

का 1 दिन का काम = 1/50 

20 दिन का काम = 20/50 = 2/15

C द्वारा किया गया कार्य

= 1−(10+2/15)

=3/15

C द्वारा 3/15 काम करने में लगा समय = 48 दिन

46. एक निश्चित धनराशि पर 10% वार्षिक दर से 3.5 वर्ष में साधारण ब्याज, समान धनराशि पर 8.4% वार्षिक दर से 4.5 वर्ष में साधारण ब्याज से Rs. 56 कम है। धनराशि कितनी है?

Correct Answer: (c) ₹ 2,000
Solution:प्रश्नानुसार,

पहली वार्षिक दर = 10%
समय = 3.5 वर्ष

दूसरी वार्षिक दर = 8.4%
समय = 4.5 वर्ष

यदि समान राशि P हो तब अंतर

47. अलग-अलग गतिविधियों में शामिल विभिन्न स्कूलों के छात्रों के प्रतिशत पर विचार करें।

स्कूल →SSBSCSDS
गतिविधि ↓
खेल25302023
संगीत15252520
पढ़ाई30202515
नृत्य25152230

CS की विभिन्न गतिविधियों में छात्रों की औसत से संख्या और नृत्य में छात्रों की औसत संख्या का अंतरा ............ है।

Correct Answer: (c) 0
Solution:

CS के विभिन्न गतिविधियों में छात्रों की संख्या -

  • खेल = 20
  • संगीत = 25
  • पढ़ाई = 25
  • नृत्य = 22

CS के छात्रों की औसत संख्या

= कुल छात्र / कुल गतिविधि

= (20+25+25+22) / 4

= 92/4

= 23​

स्कूल के नृत्य में छात्रों की संख्या

25+15+22+30=92


= 25 + 15 + 22 + 30 = 92
औसत = (92/4) = 23

अतः दोनों का अंतर

= (92/4) - (92/4) =0

= \frac{\text{कुल छात्र}}{\text{कुल गतिविधि}}

48. 12 cm व्यास वाले एक लोहे के गोले से 8mm व्यास वाला तार तैयार किया जाता है। तार की लंबाई क्या होगी?

Correct Answer: (a) 18 m
Solution:

दिया है -

  • गोले का व्यास = 12 cm
  • त्रिज्या = 6 cm
  • तार का व्यास = 8 mm
  • तथा त्रिज्या = 4 mm

प्रश्नानुसार,

गोले का आयतन = 4/3 π

बेलन का आयतन = πr²h

49. ₹ 80 के एक दर्जन दस्तानों की जोड़ी 10% के बढ़ते पर उपलब्ध है। ज्ञात करें कि ₹ 24 में कितने जोड़ी दस्ताने खरीदे जा सकते हैं?

Correct Answer: (a) 4
Solution:

दिया है -

  • एक दर्जन दस्तानों का लागत मूल्य (M.P) = ₹ 80
  • छूट = 10%

प्रश्नानुसार,

क्रय मूल्य = MP× (100−छूट/100)

= 80×90/100

= ₹72

  • एक दर्जन दस्तानों का क्रय मूल्य = ₹ 72
  • अर्थात 12 दस्ताने = ₹ 72
  • 1 दस्ताने = ₹ 6
  • 4 दस्ताने = ₹ 24

∴ ₹24 में 4 जोड़ी दस्ताने खरीदे जा सकते हैं।

50. तीन संख्याएँ 1 : 2 : 3 के अनुपात में हैं और इनका लघुत्तम समापवर्तक (LCM) 720 है। इन संख्याओं का महत्तम समापवर्तक (HCF) क्या है?

Correct Answer: (d) 120
Solution:

दिया है -

  • संख्याओं का अनुपात = 1 : 2 : 3
  • संख्याओं का लघुत्तम समापवर्तक (LCM) = 720
  • माना संख्याएँ क्रमशः = x,2x,3xx, 2x, 3x

प्रश्नानुसार,

x×2x×3x = 720x

6x = 720

  • संख्याएँ = 120, 240, 360
  • अतः महत्तम समापवर्तक (120, 240, 360) = 120