दिल्ली अधीनस्थ सेवा चयन बोर्ड परीक्षा, 2023 PGT अंग्रेज़ी (पुरुष) 21-06-2023 (Shift – II)

Total Questions: 100

51. Find the third proportional to 3, 0.09./3, 0.09 का तीसरा आनुपातिक ज्ञात कीजिए।

Correct Answer: (d) 0.0027
Solution:माना 3, 0.09 का तृतीयानुपाती = x

प्रश्नानुसार,

3 : 0.09 :: 0.09 : x

X = (0.09 × 0.09) / 3

x = 0.0027

52. If the cost price of an article is 50% of the marked price, then what is the profit percent after allowing a discount of 20%?/ यदि किसी वस्तु का लागत मूल्य अंकित मूल्य का 50% है, तो 20% की छूट देने के बाद प्रतिशत लाभ क्या है?

Correct Answer: (d) 60%
Solution:

माना अंकित मूल्य = MP

क्रय मूल्य = CP

विक्रय मूल्य = SP

प्रश्नानुसार,

CP = (50/100) × MP

CP = 0.5 MP ...(i)

और 20% छूट देने पर → SP = MP × (80/100)

SP = 0.8 MP ...(ii)

अतः लाभ प्रतिशत = (SP - CP)/CP × 100%

= (0.8MP - 0.5MP)/0.5MP × 100

= 0.3/0.5 × 100

= 60%

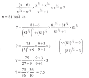
53. Solve it/हल कीजिए:

Correct Answer: (c) 7.5
Solution:

54. 6 men and 8 women can do a work together in 10 days, while 5 men and 15 women can do it in 8 days. How many days will 17 men and 16 women take to finish the work?/6 पुरुष और 8 महिलाएँ एक साथ एक काम को 10 दिनों में पूरा कर सकते हैं। जबकि 5 पुरुष और 15 महिलाएँ इसे 8 दिनों में पूरा कर सकते हैं। 17 पुरुषों और 16 महिलाओं को काम पूरा करने में कितने दिन लगेंगे?

Correct Answer: (a) 4
Solution:प्रश्नानुसार,

(6M + 8W) × 10 = (5M + 15W) × 8

60M + 80W = 40M + 120W

20M = 40W

M/W = 2/1

कुल कार्य = (6 × 2 + 8 × 1) × 10 = 20 × 10 = 200

अतः 17M और 16W को मिलकर कार्य करने में लगा समय

= 200/(17M + 16W)

= 200/(17 × 2 + 16 × 1)

= 200/50

= 4 दिन

55. Find the compound interest on ₹16,540 for 2 years at 16% per annum compounded annually. 16540 रु. पर 2 वर्षों के लिए 16% प्रति वर्ष की दर से वार्षिक चक्रवृद्धि ब्याज ज्ञात कीजिए।

Correct Answer: (a) ₹5,716.22
Solution:A = मिश्रधन, P = मूलधन, R = प्रतिशत दर, T = समय

प्रश्नानुसार,

A = P (100 + R/100)ᵀ

A = 16540 (116/100)²

A = 16540 × 13456/10000

A = 22256.224

अतः चक्रवृद्धि ब्याज (I) = A - P

I = 22256.22 - 16540

I = ₹5716.22

56. A right-circular cone having slant height 37 cm and diameter of base 24 cm is melted and reshaped into a right-circular cone of radius 6 cm. What is the height of the new cone?/तिरछी ऊँचाई 37 सेमी और आधार का व्यास 24 सेमी वाले एक लंबवृत्तीय शंकु को पिघलाया जाता है और 6 सेमी त्रिज्या वाले लंबवृत्तीय शंकु में बदल दिया जाता है। नये शंकु की ऊँचाई कितनी है?

Correct Answer: (d) 140 cm/140 सेमी
Solution:

तिर्यक ऊंचाई (l) = 37 सेमी

व्यास = 24 सेमी ⇒ त्रिज्या (r₁) = 12 सेमी

तब,

ऊंचाई (h₁) = √(l² - r²)

h₁ = √(37² - 12²)

= √(1369 - 144)

= √1225

h₁ = 35

प्रश्नानुसार,

पिघलाने के बाद, r₂ = 6 सेमी.

1/3πr₁²h₁ = 1/3πr₂²h₂

1/3π * 12² × 35 = 1/3π × 6² × h₂

144 × 35 = 36 × h₂

h₂ = (144 × 35) / 36 = 4 × 35 = 140 सेमी.

57. A dealer marks the price of clothes 31% more than the cost price. If he allows a discount of 21% on the marked price, then his percentage of profit is:/एक डीलर कपड़ों की कीमत लागत मूल्य से 31% अधिक अंकित करता है। यदि वह अंकित मूल्य पर 21% की छूट देता है, तो उसके लाभ का प्रतिशत हैः

Correct Answer: (b) 3.49%
Solution:

माना क्रय मूल्य (CP) = 100

अंकित मूल्य (MP) = 131

छूट = 21%

प्रश्नानुसार,

विक्रय मूल्य (SP) = 131 × (100-21)/100 = (131 × 79)/100

= 131(80-1)/100

= 10480-131/100

= 103.49

लाभ = S.P - C.P

= 103.49 - 100 = 3.49

अतः लाभ प्रतिशत = 3.49/100 × 100 = 3.49%

58. Find the simple interest (in) on ₹7,200 at 3% per annum for 6 years.₹ / 7200 पर 6 वर्षों के लिए 3% प्रतिवर्ष की दर से साधारण ब्याज (रु. में) ज्ञात कीजिए।

Correct Answer: (c) 1296
Solution:

P = मूलधन
R = प्रतिशत दर
T = समय
साधारण ब्याज = (P × R × T)/100
=(7200 × 3 × 6)/ 100
= 72 × 18
= ₹1296

59. A scooter marked at ₹720 is sold at ₹500.What is the rate of discount?/ ₹720 अंकित मूल्य वाला एक स्कूटर ₹500 में बेचा जाता है। छूट की दर क्या है?

Correct Answer: (b) 275/9%
Solution:

प्रश्नानुसार,
अंकित मूल्य (MP) = 720
विक्रय मूल्य (SP) = 500
D = छूट %

सूत्र-
SP = MP (100 - D)/100
500 = 720 (100 - D)/100
500 × 10 = 72(100 - D)
5000 = 7200 - 72 D
72 D = 7200 - 5000
72 D = 2200
D = 2200 / 72 = 1100 / 36 = (11 × 100) / (9 × 4) = (11 × 25) / 9
D = 275 / 9 %

60. After covering a distance of 30 km with a uniform speed there is some defect in the train engine and therefore, its speed is reduced to 4ᵗʰ/5 of its original speed. Consequently, the train reaches its destination late by 45 minutes. Had it happened after covering 18 km more, the train would have reached 9 minutes earlier. Find the distance of the journey./एक समान गति से 30 किमी की दूरी तय करने के बाद ट्रेन के इंजन में कुछ खराबी आ जाती है और इसलिए, इसकी गति मूल गति की 4ᵗʰ/5 गुना हो जाती है। नतीजतन, ट्रेन अपने गंतव्य स्थान पर 45 मिनट की देरी से पहुँचती है। यदि 18 किमी अधिक चलने पर ऐसा होता तो ट्रेन 9 मिनट पहले पहुंच जाती। यात्रा की दूरी ज्ञात कीजिए।

Correct Answer: (a) 120 km/120 किमी
Solution:

माना ट्रेन की चाल = x किमी/घंटा
यात्रा की दूरी = y
यात्रा में लगा समय = y/x

शर्त (I):-
माना 30 किमी की यात्रा → x किमी/घंटा
(y - 30) किमी की यात्रा → (4/5)x किमी/घंटा

प्रश्नानुसार,