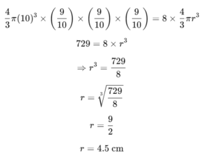
दिल्ली अधीनस्थ सेवा चयन बोर्ड परीक्षा, 2023 PGT EVGC (Male) 21-06-2023 (Shift – I)Total Questions: 10041. The average of consecutive positive integers a,b,c,d and e is 11. The average of ab,bc,cd,de and ea is ....... .क्रमागत धनात्मक पूर्णांक a, b, c, d और e का औसत 11 है। ab, bc, cd, de और ea का औसत है-(a) 125(b) 100(c) 121(d) 110Correct Answer: (c) 121Solution:42. A solid sphere has radius 10 cm. It is melted to form a cube. 10% material is wasted in this process. The cube is melted to form a hemisphere. In this process 10% material is wasted. The hemisphere is melted to form eight spheres of equal radius. 10% material is also wasted in this process. What is the radius (in cm) of each new sphere?एक ठोस गोले की त्रिज्या 10 सेमी. है। इसे घन बनाने के लिए पिघलाया जाता है इस प्रक्रिया में 10% सामग्री बर्बाद हो जाती है। घन को पिघलाकर गोलार्द्ध बनाया जाता है। इस प्रक्रिया में 10% सामग्री बबार्द हो जाती है। गोलार्द्ध को पिघलाकर समान त्रिज्या के 8 गोले बनाए जाते हैं, इस प्रक्रिया में 10% सामग्री भी बर्बाद हो जाती है। प्रत्येक नए गोले की त्रिज्या (सेमी. में) क्या है?(a) 5 cm(b) 5.5 cm(c) 4.5 cm(d) 4 cmCorrect Answer: (c) 4.5 cmSolution:माना प्रत्येक नये गोले की त्रिज्या तथा ठोस गोले की त्रिज्या R है। प्रश्नानुसार,43. Vijay runs 8/5 times as fast as Surya. If Vijay gives Surya a head start of 93m, how far must the winning post be so that Vijay and Surya might reach it at the same time?विजय, सूर्या से 8/5 गुना तेज दौड़ता है। यदि विजय, सूर्या को 93 मीटर की बढ़त देता है तो विजयी पद कितनी दूर होना चाहिए ताकि विजय और सूर्या एक ही समय में उस तक पहुँच सकें?(a) 196 m(b) 180 m(c) 248 m(d) 190 mCorrect Answer: (c) 248 mSolution:माना सूर्या की चाल = 5y प्रश्नानुसार, विजय की चाल = 5y × (8/5) = 8yयदि समय समान हो तो चाल व दूरी समानानुपात में होते है इसलिए दूरी क्रमशः 8x व 5x होगी।प्रश्नानुसार, 8x - 5x = 93 3x = 93 x = 31अतः रेस की कुल दूरी = 8x = 31 × 8 = 248 मीटर44. A can do a piece of work in 5 hours, B and C together in 3 hours, and A and C together in 2 hours. How long will B alone take to do it?A एक काम को 5 घंटे में कर सकता है, B और C एक साथ 3 घंटे में, तथा A और C एक साथ 2 घंटे में कर सकते हैं। B अकेले इसे करने में कितना समय लेगा।(a) 15 hours(b) 40 hours(c) 30 hours(d) 20 hoursCorrect Answer: (c) 30 hoursSolution:माना कुल कार्य LCM (5, 3, 2) = 30 इकाई प्रश्नानुसार,C की क्षमता = 15 - 6 = 9 ईकाई प्रति घंटा B की क्षमता = 10 - 9= 1 ईकाई प्रति घंटाअतः B द्वारा कार्य को करने में लगा समय = 30/1= 30 घंटे45. The number of significant figures in 1.95×10⁻²⁷ kg is:1.95×10⁻²⁷ में सार्थक अंकों की संख्या है-(a) 30(b) 4(c) 5(d) 3Correct Answer: (d) 3Solution:1.95×10⁻²⁷ kg में सार्थक अंकों की संख्या = 346. The total marks obtained by a student in Physics, Chemistry and Mathematics together is 150 more than the marks obtained by him in Chemistry. What are the average marks obtained by him in Physics and Mathematics together?एक छात्र द्वारा भौतिकी, रसायन विज्ञान और गणित में प्राप्त कुल अंक उसके द्वारा रसायन विज्ञान में प्राप्त अंकों से 150 अधिक है। भौतिकी और गणित में मिलाकर उसके द्वारा प्राप्त औसत अंक कितने हैं।(a) 55(b) 75(c) 40(d) 65Correct Answer: (b) 75Solution:माना रसायन विज्ञान में विद्यार्थी के अंक = x प्रश्नानुसार, भौतिकी + रसायन + गणित = x + 150 भौतिकी + गणित = x + 150 - x = 150 अतः भौतिकी व गणित के औसत अंक = 150/2 = 7547. Convert (200/3)% into the form of ratio.(200/3)% को अनुपात के रूप में परिवर्तित करें।(a) 2 : 3(b) 1 : 2(c) 2 : 1(d) 3 : 2Correct Answer: (a) 2 : 3Solution:(200/3)% का अनुपात = (200/3)/100 = 200/300 = 2 : 348. Working separately, P and Q can do a piece of work in 16 days and 20 days, respectively. If they work for a day alternately, starting with P, in how many days will the work be completed?अलग-अलग काम करते हुए, P और Q एक काम को क्रमशः 16 दिन और 20 दिन में कर सकते हैं। यदि वे P से शुरू करके एक-एक दिन बारी-बारी से काम शुरू करते हैं, तो काम कितने दिनों में पूरा हो जाएगा? (a)(b)(c)(d)Correct Answer: (b)Solution:माना कुल कार्य LCM (16,20) = 80 इकाई प्रश्नानुसार,यदि P और Q एकान्तर दिनों में कार्य करते हैं तो P और Q का 2 दिन का कार्य = (5+4) = 9 इकाई P और Q द्वारा 16 दिनों में किया कार्य = 9 × 8 = 72 इकाई P का एक दिन का कार्य = 5 इकाई अतः अंतिम दिन Q शेष कार्य करेगा तथा लगा समय = (80 - 72 - 5)/4 = 3/4 दिन अतः कार्य को पूरा करने में लगा समय = 16 + 1 + 3/4 = 17 + 3/4 दिन49. The following graph shows the minimum temperature of a city of the first six days of 2022. If the average minimum temperature of the first seven days is 56°F, then what was the minimum temperature of the city on the 7th day of 2022?निम्नलिखित ग्राफ 2022 के पहले छह दिनों के शहर के न्यूनतम तापमान को दर्शाता है। यदि पहले सात दिनों का औसत न्यूनतम तापमान 56°F है, तो 2022 के 7वें दिन शहर का न्यूनतम तापमान क्या था?(a) 63° F(b) 66° F(c) 57° F(d) 61° FCorrect Answer: (a) 63° FSolution:दिए गए ग्राफ से - माना 7वें दिन का तापमान = x°Fप्रश्नानुसार, (43 + 53 + 50 + 57 + 59 + 67 + x)/7 = 56 329 + x = 392 x = 392 - 329 x = 63°F50. The smallest perfect square divisible by each of 16, 18, 20 and 25 is:16, 18, 20 और 25 में से प्रत्येक से विभाज्य सबसे छोटा पूर्ण वर्ग है:(a) 1600(b) 3600(c) 19600(d) 14400Correct Answer: (b) 3600Solution:16, 18, 20 और 25 ल.स.प. - 16 → 2⁴ 18 → 2¹ × 3² 20 → 2² × 5¹ 25 → 5² ल.स.प. = 2⁴ × 3² × 5² = 3600अतः 3600 वह सबसे छोटी पूर्ण वर्ग संख्या है जो 16, 18, 20 और 25 से पूर्णतः विभाज्य है।Submit Quiz« Previous12345678910Next »