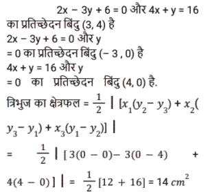
निर्देशांक ज्यामिति (SSC)Total Questions: 3221. समीकरण 2x – 3y + 6 = 0, 4x + y = 16 और y = 0 के बिंदुरेख से परिबंध क्षेत्र का क्षेत्रफल ( इकाई वर्गों में ) कितना होगा ? [SSC CGL Tier II (29/01/2022)](a) 11.5(b) 14(c) 10.5(d) 12Correct Answer: (b) 14Solution:22. समीकरण 7x + 11y = 3 और 8x + y = 15 के आलेख बिंदु P पर प्रतिच्छेद करते हैं, जो समीकरण ______ के आलेख पर भी स्थित है। [SSC CGL Tier II (29/01/2022)](a) 2x + y = 2(b) 2x – y = 1(c) 3x + 5y = 1(d) 3x + 2y = 3Correct Answer: (c) 3x + 5y = 1Solution:23. दिए गए प्रश्न का उत्तर ज्ञात कीजिए ? [SSC CGL Tier II (15/11/2020)](a) 37/35(b) 31/41(c) 5/7(d) 41/31Correct Answer: (b) 31/41Solution:24. समीकरण 8x + 3y = 24, 2x + 8 = y और x-अक्ष के आरेख द्वारा निर्मित त्रिभुज का क्षेत्रफल (वर्गइकाइयों में) है : [SSC CGL Tier II (15/11/2020)](a) 28(b) 14(c) 15(d) 24Correct Answer: (a) 28Solution:25. रैखिक समीकरण 3x – 2y = 8 और 4x + 3y = 5 के आरेख बिंदु(α, β) पर प्रतिच्छेद करता है। (2α − β) का मान क्या है ? [SSC CGL Tier II (16/11/2020)](a) 4(b) 6(c) 3(d) 5Correct Answer: (d) 5Solution:26. रेखा Y = 3 में, बिंदु (5, -3) का प्रतिबिंब क्या है [SSC CGL Tier II (18/11/2020)](a) (5, -6)(b) (-5, 3)(c) (5, 9)(d) (5, 3)Correct Answer: (c) (5, 9)Solution:27. रैखिक समीकरणों 4x – 2y = 10 और 4x + ky = 2 के आरेख एक बिंदु (a, 4) पर एक-दूसरे को काटते हैं। k का मान ज्ञात करे। [SSC CGL Tier II ( 18/11/2020)](a) 3(b) – 3(c) – 4(d) 4Correct Answer: (c) – 4Solution:28. समीकरण 3x + y – 5 = 0 तथा 2x – y – 5 = 0 के आरेख एक बिंदु P (α, β) पर एक-दूसरे को काटते हैं | (3α + β) का मान क्या ह [SSC CGL Tier II (11/09/2019)](a) 4(b) - 4(c) 3(d) 5Correct Answer: (d) 5Solution:29. समीकरण x – 7y = – 42 का आरेख y - अक्ष को P (α , β) पर काटता हैतथा समीकरण 6x + y – 15 = 0 का आरेख x - अक्ष को Q(γ , δ) पर काटता है| α + β + γ + δ का मान क्या है [SSC CGL Tier II (11/09/2019)](a) 17/2(b) 6(c) 9/2(d) 5Correct Answer: (a) 17/2Solution:30. समीकरण 3x – 5y = 19 तथा 3y – 7x + 1= 0 के आरेखों का प्रतिच्छेद बिंदु P(α , β) है | (3α − β) का मान क्या है ? [SSC CGL Tier II (12/09/2019)](a) - 2(b) –1(c) 1(d) 0Correct Answer: (b) –1Solution:Submit Quiz« Previous1234Next »