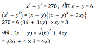
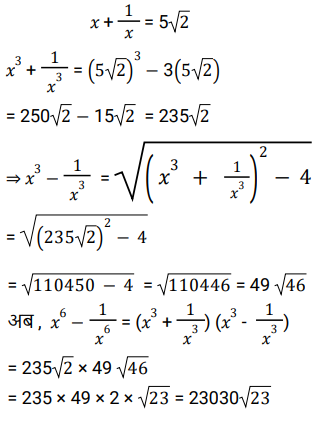
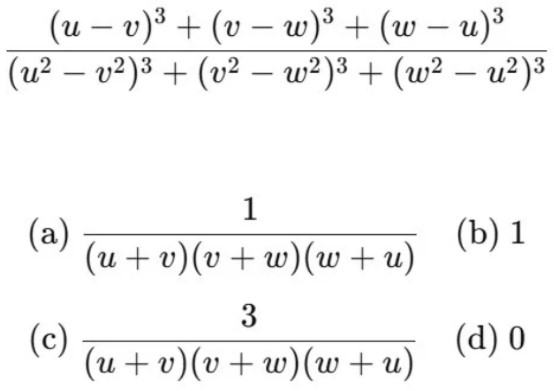
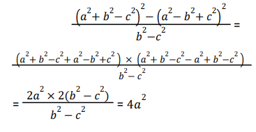
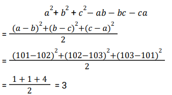
बीजगणित (SSC)Total Questions: 5011. सरल कीजिए : [SSC CHSL 07/08/2023 (3rd Shift)](a) 1/2(b) 2/3(c) 3/2(d) 1/4Correct Answer: (d) 1/4Solution:12. k के किस धनात्मक मान के लिए, समीकरण 3x² + 2kx + 3 = 0 के वास्तविक और बराबर मूल हैं ? [SSC CHSL 07/08/2023 (2nd Shift)](a) 12(b) 1(c) 3(d) 9Correct Answer: (c) 3Solution:13. निम्नलिखित व्यंजक को सरल कीजिए। [SSC CHSL 04/08/2023 (4th Shift)](a) 3a²(b) 4a²(c) 5a²(d) 2a²Correct Answer: (b) 4a²Solution:14. (a³ + b³ + c³- 3abc), का मान ज्ञात कीजिए, जहां a = 335, b = 215 और c = 180. [SSC CHSL 04/08/2023 (3rd Shift)](a) 14472250(b) 15421320(c) 14502230(d) 15452630Correct Answer: (a) 14472250Solution:15. निम्नलिखित व्यंजक को सरल कीजिए। [SSC CHSL 04/08/2023 (1st Shift)](a)(b)(c)(d)Correct Answer: (a)Solution:16. यदि x³ = 270 + y³ तथा x = (6 + y ), तो (x + y ) का मान क्या है? (यदि x > 0 और y > 0 ) [SSC CHSL 03/08/2023 (4th Shift)](a) 2√3(b) √3(c) 4√3(d) 4√2Correct Answer: (c) 4√3Solution:17. यदि p + q + r = 0 , तो निम्नलिखित व्यंजक का सरलीकृत मान क्या है ? [SSC CHSL 03/08/2023 (2nd Shift)](a) 0(b) 2(c) 1(d) -1Correct Answer: (b) 2Solution:18. दिए गए प्रश्न का उत्तर ज्ञात कीजिए ? [SSC CHSL 02/08/2023 (2nd Shift)](a) 22970√23(b) 23030√23(c) 23060√23(d) 22960√23Correct Answer: (b) 23030√23Solution:19. किन्हीं दो प्राकृत संख्याओं के घनों का अंतर 6272 है, जबकि दी गई दोनों संख्याओं का धनात्मक अंतर 8 है। दी गई दोनों संख्याओं के घनों का योग क्या होगा? [SSC CGL 27/07/2023 (1st shift)](a) 9728(b) 9684(c) 8000(d) 9600Correct Answer: (a) 9728Solution:20. यदि a = 101, b = 102 और c = 103 है, तो a² + b² + c² - ab - bc - ca का मान क्या होगा? [SSC CGL 24/07/2023 (1st shift)](a) 2(b) 4(c) 3(d) 6Correct Answer: (c) 3Solution:Submit Quiz« Previous12345Next »