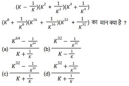
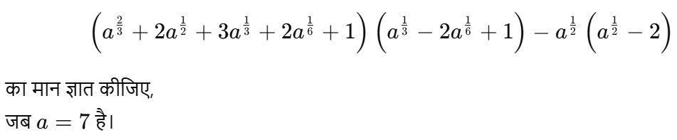
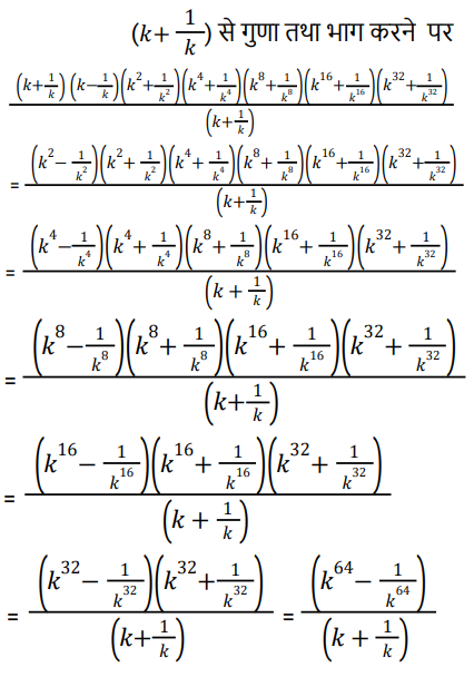
बीजगणित (SSC)Total Questions: 5031. दिए गए प्रश्न का उत्तर ज्ञात कीजिए ? [SSC CGL 06/12/2022 (3rd Shift)](a)(b)(c)(d)Correct Answer: (a)Solution:32. निम्नलिखित मेंसेकौन सा कथन सही है ? [SSC CGL 02/12/2022 (4th Shift)](a) केवल ।(b) केवल ॥(c) । तथा II दोनों(d) ना ही । ना ही ।ICorrect Answer: (a) केवल ।Solution:33. दिए गए प्रश्न का उत्तर ज्ञात कीजिए ? [SSC CHSL 24/05/2022 (Morning)](a)(b)(c)(d)Correct Answer: (c)Solution:34. a² + b² = 25, 𝓍² + y² = 17 और ax + by = 8 तो (ay - bx) का मान है: [SSC CHSL 13/4/2021 (Afternoon)](a) 33(b) 25(d) 19(c) 21Correct Answer: (d) 19Solution:35. दिए गए प्रश्न का उत्तर ज्ञात कीजिए ? [SSC CGL Tier II (18/11/2020)](a) 14/13(b) 1(c) 15/13(d) 13/15Correct Answer: (c) 15/13Solution:36. यदि x³ + 2x² - ax - b , (x² - 1) से संपूर्ण विभाज्य है, तो a और b के मान ज्ञात करें | [SSC CHSL 21/10/2020 (Afternoon)](a) a = -1, and b = 2(b) a = 1 and b = -2(c) a = 1 and b = 2(d) a = 2 and b = 2Correct Answer: (c) a = 1 and b = 2Solution:37. दिए गए प्रश्न का उत्तर ज्ञात कीजिए ? [SSC CHSL 21/10/2020 (Morning)](a) 0(b) 2(c) 1(d) - 1Correct Answer: (c) 1Solution:38. (ax + by) किसका एक गुणनखण्ड है: [SSC CHSL 16/10/2020 (Afternoon)](a) a²x² + 2ab - b²y²(b) a²x² + 2abxy + b²y²(c) a²x³+ 2abx + b²y²x(d) a²x² + 2ab + b²y²Correct Answer: (b) a²x² + 2abxy + b²y²Solution:39. अगर a एक प्राकृतिक संख्या है, तो (7a² + 7a) हमेशा विभाजित होगी : [SSC CHSL 16/10/2020 (Morning)](a) 7 और 14 दोनों(b) 7 केवल(c) 14 केवल(d) 21 केवलCorrect Answer: (a) 7 और 14 दोनोंSolution:40. दिए गए प्रश्न का उत्तर ज्ञात कीजिए ? [SSC CHSL 13/10/2020 (Morning)](a) 7(b) 0(c) 1(d) √7Correct Answer: (c) 1Solution:Submit Quiz« Previous12345Next »