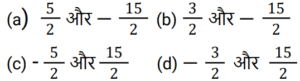
बीजगणित Part-6Total Questions: 5031. यदि x = 2 और y = 5 तो 5xy − y² का मान ज्ञात कीजिये ? [RRB NTPC 05/01/2021 (Morning)](a) 20(b) 25(c) 40(d) 0Correct Answer: (b) 25Solution:32. यदि 1/(5√2 − 7) = a√2 + b, तो a और b के मान क्या हैं? [RRB NTPC 05/01/2021 (Evening)](a) −7, 5(b) 5, 7(c) 7, 5(d) 5, −7Correct Answer: (b) 5, 7Solution:33. 8m³ − n³ किसके समतुल्य है? [RRB NTPC 05/01/2021 (Evening)](a) (2m − n)(4m² + 4mn + n²)(b) (2m − n)(4m² + 2mn + n²)(c) (2m − n)(4m² − 2mn + n²)(d) (2m − n)(4m² − 4mn + n²)Correct Answer: (b) (2m − n)(4m² + 2mn + n²)Solution:34. समीकरण 2x² − 8x − m = 0 का एक मूल 5/2 है। समीकरण का दूसरा मूल और m का मान क्रमशः क्या होगा? [RRB NTPC 07/01/2021 (Morning)](a)(b)(c)(d)Correct Answer: (b)Solution:35. यदि P = 2 + √3 तथा Q = 2 − √3, तो P/Q = ? [RRB NTPC 07/01/2021 (Morning)](a) (7 + 4√3)/1(b) 4√6 + 5(c) 7 − 2√6(d) 4√3 − 5Correct Answer: (a) (7 + 4√3)/1Solution:36. यदि x√12 = 4 + x√3, तो x का मान क्या होगा ? [RRB NTPC 07/01/2021 (Morning)](a) 4/√3(b) √3(c) −√3(d) 2√3Correct Answer: (a) 4/√3Solution:37. यदि −5 द्विघात समीकरण 2x² + px − 15 = 0 का मूल है और द्विघात समीकरण P(kx² + x) = 0 का भी है, तो p और k का मान क्या है? [RRB NTPC 08/01/2021 (Morning)](a) 7, 0.2(b) 7, −0.2(c) −7, 0.4(d) −7, −0.2Correct Answer: (a) 7, 0.2Solution:38. यदि a² + b² = 82 और ab = 9, तो a³ + b³ का मान ज्ञात कीजिये ? [RRB NTPC 08/01/2021 (Evening)](a) 750(b) 730(c) 720(d) 830Correct Answer: (b) 730Solution:39. यदि x⁴ + x⁻⁴ = 1154 है, तो x + x⁻¹ का मान ज्ञात कीजिये। [RRB NTPC 08/01/2021 (Evening)](a) 8(b) 6(c) 5(d) 12Correct Answer: (b) 6Solution:40. यदि a = 17, b = 15, c = −128 का 1/4 है, तो a³ + b³ + c³ − 3abc का मान ज्ञात कीजिये ? [RRB NTPC 10/01/2021 (Evening)](a) 3(b) 2(c) 0(d) 1Correct Answer: (c) 0Solution:Submit Quiz« Previous12345Next »