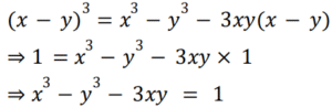
बीजगणित Part-8Total Questions: 5041. यदि 4x² − 8x + 3 = 0, तो x के संभावित मान क्या हैं? [RRB NTPC 12/03/2021 (Morning)](a) 1.5, 0.5 (b) 2.5, 1.5(c) 2, 1.5 (d) 0.2, 0.5Correct Answer: (a) 1.5, 0.5 Solution:42. यदि (a² − 1)/a = 5, तो (a⁶ − 1)/a³ = ? [RRB NTPC 12/03/2021 (Morning)](a) 120 (b) 140(c) 125 (d) 130Correct Answer: (b) 140Solution:43. अगर 2ˣ = 4ʸ⁺¹ and 3ʸ = 3ˣ⁻⁹, तो x और y के मान होंगे: [RRB NTPC 13/03/2021 (Evening)](a) (−16, 7) (b) (16, −7)(c) (7, 16) (d) (16, 7)Correct Answer: (d) (16, 7)Solution:44. समीकरण 3(5x + 2) − 4 = 2(1 − 4x) में चर x का मान है: [RRB NTPC 13/03/2021 (Evening)](a) 10 (b) −1 (c) 2 (d) 0Correct Answer: (d) 0Solution:45. यदि x − y = 1, तो x³ − y³ − 3xy का मान होगा: [RRB NTPC 14/03/2021 (Morning)](a) −1 (b) 2 (c) 0 (d) 1Correct Answer: (d) 1Solution:46. दिए गए प्रश्न का उत्तर ज्ञात कीजिए ? [RRB NTPC 14/03/2021 (Morning)](a) −1 (b) 1 (c) 0 (d) 2Correct Answer: (a) −1 Solution:47. दिए गए प्रश्न का उत्तर ज्ञात कीजिए ? [RRB NTPC 14/03/2021 (Evening) ](a) 14 (b) 10 (c) 13 (d) 15Correct Answer: (a) 14 Solution:48. 3(x + y) का मान ज्ञात कीजिए यदि x = (√3 + 1)/(√3 − 1) और y = (√3 − 1)/(√3 + 1). [RRB NTPC 15/03/2021 (Morning)](a) 12 (b) 10 (c) 8 (d) 13Correct Answer: (a) 12 Solution:49. यदि a − 5 = b, तो |a − b| + |b − a| का मान क्या है? [RRB NTPC 15/03/2021 (Morning)](a) 10 (b) 5 (c) −5 (d) 0Correct Answer: (a) 10 Solution:50. दिए गए समीकरण में x का उच्चतम मान क्या होगा? 5Y6 + 6X7 + 3Z8 = 1511 [RRB NTPC 15/03/2021 (Morning)](a) 6 (b) 9(c) 7 (d) 5Correct Answer: (b) 9Solution:Submit Quiz« Previous12345