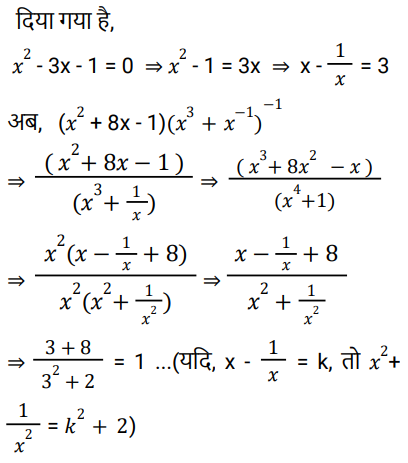
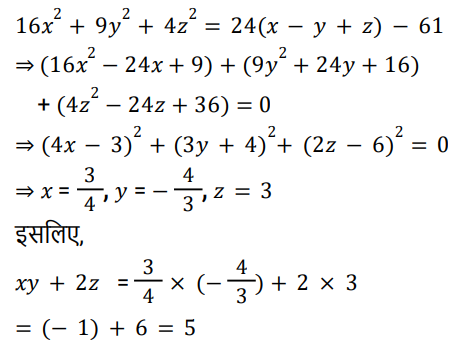
बीजगणित (SSC) (Part-II)Total Questions: 5011. यदि 𝓍² - 3x - 1 = 0 है, तो (𝓍² + 8x - 1) (𝓍³ + 𝓍⁻¹)⁻¹ का मान क्या होगा ? [SSC CGL 07/06/2019 (Afternoon)](a) 3/8(b) 8(c) 1(d) 3Correct Answer: (c) 1Solution:12. यदि x = 2 - p है, तो का 𝓍³ + 6𝓍p + p³ मान क्या होगा ? [SSC CGL 07/06/2019 (Morning)](a) 12(b) 6(c) 8(d) 4Correct Answer: (c) 8Solution:13. यदि 2𝓍² + y² + 6x - 2xy + 9 = 0 है, तो 4𝓍³ - y³ + 𝓍²y² का मान क्या होगा ? [SSC CGL 06/06/2019 (Afternoon)](a) 0(b) 9(c) - 3(d) - 9Correct Answer: (a) 0Solution:14. दिए गए प्रश्न का उत्तर ज्ञात कीजिए ? [SSC CGL 06/06/2019 (Morning)](a) 72(b) 56(c) 84(d) 80Correct Answer: (a) 72Solution:15. यदि x + y = 1 है और xy(xy - 2) = 12 है, तो 𝓍⁴ + y⁴ का मान क्या होगा ? [SSC CGL 04/06/2019 (Evening)](a) 19(b) 25(c) 20(d) 23Correct Answer: (b) 25Solution:16. यदि 16𝓍² + 9y² + 4z² = 24(x - y + z) - 61 है, तो (xy + 2z) का मान क्या होगा ? [SSC CGL 04/06/2019 (Afternoon)](a) 1(b) 2(c) 3(d) 5Correct Answer: (d) 5Solution:17. दिए गए प्रश्न का उत्तर ज्ञात कीजिए ? [SSC CGL 04/06/2019 (Morning)](a) 10(b) 9(c) 15(d) 12Correct Answer: (d) 12Solution:18. यदि x + y + z = 19, 𝓍² + y² + z² = 133 तथा xz = y² है, तो z और x के बीच क्या अंतर है ? [SSC CGL 04/06/2019 (Morning)](a) 5(b) 3(c) 6(d) 4Correct Answer: (a) 5Solution:19. यदि 𝓍⁴ + 𝓍⁻⁴ = 194, 𝓍 ≻ 0 है, तो (𝑥 − 2)² का मान क्या होगा ? [SSC CGL 04/06/2019 (Morning)](a) 1(b) 6(c) 2(d) 3Correct Answer: (d) 3Solution:20. यदि 𝓍² - 4x + a = 0 के मूल बराबर हैं, तो a = ? [SSC CPO 16/03/2019 (Evening)](a) - 4(b) 4(c) 8(d) -8Correct Answer: (b) 4Solution:Submit Quiz« Previous12345Next »