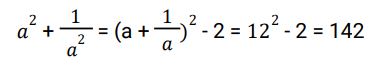
बीजगणित (SSC) (Part-II)Total Questions: 5021. सरल कीजिए : [SSC CGL 09/09/2024 (1st Shift)](a) 𝓍² + 25(b) 𝓍² + 5𝓍 + 25(c) 𝓍² + 10𝓍 + 25(d) 𝓍² - 25Correct Answer: (c) 𝓍² + 10𝓍 + 25Solution:22. दिए गए प्रश्न का उत्तर ज्ञात कीजिए ? [SSC CGL 09/09/2024 (1st Shift)](a) 1, 10(b) 4, 7(c) 3, 10(d) 2, 7Correct Answer: (a) 1, 10Solution:23. मान लीजिए a + b = 2c है, तो निम्नलिखित मेंसेकौन सा व्यंजक सही है? [SSC CGL 09/09/2024 (3rd Shift)](a) a² + 2ac = b² + 2bc(b) a² - 2bc = b² - 2ac(c) a² + 2bc = b² + 2ac(d) a² - ac = b² - bcCorrect Answer: (c) a² + 2bc = b² + 2acSolution:24. यदि x, y और z धनात्मक संख्याएँ हैं और x + y + z = 1 है, तो 1/𝓍 + 1/y + 1/z का न्यूनतम मान ज्ञात कीजिए। [SSC CGL 09/09/2024 (3rd Shift)](a) 7(b) 5(c) 9(d) 11Correct Answer: (c) 9Solution:25. दिए गए प्रश्न का उत्तर ज्ञात कीजिए ? [SSC CGL 10/09/2024 (1st Shift)](a) 144(b) 146(c) 142(d) 140Correct Answer: (c) 142Solution:26. यदि तीन संख्याओं का योग 18 है और उनके वर्गों का योग 36 है, तो उनके घनों के योग और उनके गुणनफल के तीन गुना के बीच अंतर ज्ञात कीजिए। [SSC CGL 10/09/2024 (1st Shift)](a) 1449(b) −1944(c) −1494(d) 4149Correct Answer: (b) −1944Solution:27. x, y और z के वेमान ज्ञात करें, जिससे नीचेदिए गए समीकरणोंको संतुष्ट किया जा सके: [SSC CGL 10/09/2024 (2nd Shift)]x + y + z = 12; x + y - z = 6; x - y + z = 4(a) x = 5, y = 4, z = - 3(b) x = 5, y =- 4, z = 3(c) x = 5, y = 4, z = 3(d) x = 5, y = - 4, z = - 3Correct Answer: (c) x = 5, y = 4, z = 3Solution:28. दिए गए प्रश्न का उत्तर ज्ञात कीजिए ? [SSC CGL 10/09/2024 (2nd Shift)](a) 47(b) 49(c) 51(d) 45Correct Answer: (a) 47Solution:29. दिए गए प्रश्न का उत्तर ज्ञात कीजिए ? [SSC CGL 10/09/2024 (3rd Shift)](a) 1/√13(b) √15(c) √13(d) 1√15Correct Answer: (a) 1/√13Solution:30. k के कौन-से मान के लिए समीकरण 2𝑥 + 7k𝑦 – 8 = 0 और 𝑥 + 𝑦 – 9 = 0 का कोई हल नहीं होगा? [SSC CGL 10/09/2024 (3rd Shift)](a) 2/7(b) 9/7(c) 8/9(d) 1/2Correct Answer: (a) 2/7Solution:Submit Quiz« Previous12345Next »