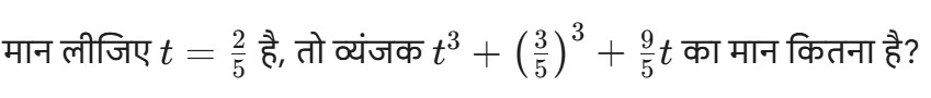
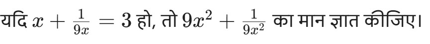
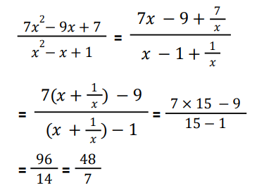
बीजगणित (SSC) (Part-II)Total Questions: 5031. दिए गए प्रश्न का उत्तर ज्ञात कीजिए ? [SSC CGL 11/09/2024 (1st Shift)](a) 221(b) 234(c) 198(d) 216Correct Answer: (b) 234Solution:32. अज्ञात मान प्राप्त करनेके लिए दिए गए तीन समीकरणोंके समूह को हल कीजिए: [SSC CGL 11/09/2024 (1st Shift)]x + 2z = 3 x + 2y + 3z = 5 3x - 5z = -13(a) x = 0,y = -1,z = 2(b) x = -1,y = 0,z = 2(c) x = -1,y = 2,z = 0(d) x = 2,y = 0,z = -1Correct Answer: (b) x = -1,y = 0,z = 2Solution:33. दिए गए प्रश्न का उत्तर ज्ञात कीजिए ? [SSC CGL 11/09/2024 (3rd Shift)](a) 87(b) 81(c) 77(d) 79Correct Answer: (d) 79Solution:34. दिए गए प्रश्न का उत्तर ज्ञात कीजिए ? [SSC CGL 12/09/2024 (1st Shift)](a) 1/5(b) 1(c) 2(d) 1/2Correct Answer: (b) 1Solution:35. दिए गए प्रश्न का उत्तर ज्ञात कीजिए ? [SSC CGL 12/09/2024 (1st Shift)](a) - 48/7(b) - 22/7(c) 48/7(d) 22/7Correct Answer: (c) 48/7Solution:36. निम्नलिखित समीकरणों के लिए a और b के मान क्या हैं, जिनके अपरिमित रूप से अनेक हल हों? [SSC CGL 12/09/2024 (2nd Shift)]ax + by = 2 3x - (5 - 2a)y = 6(a) a = - 1, b = - 1(b) a = - 1, b = 1(c) a = 1, b = - 1(d) a = 1, b = 1Correct Answer: (c) a = 1, b = - 1Solution:37. यदि m + n = 24 है, तो then (m -16)³ + (n - 8)³ का मान ________ है। [SSC CGL 12/09/2024 (2nd Shift)](a) 0(b) 40(c) 576(d) 320Correct Answer: (a) 0Solution:38. यदि समीकरणों 2x + y = a, 8x + by = 12 के अनंत हल है, तो a और b के मान का योग निम्नलिखित में से कौन-सा है? [SSC CGL 12/09/2024 (3rd Shift)](a) 16(b) 9(c) 7(d) 18Correct Answer: (c) 7Solution:39. यदि a² + b² + c² = 2(a + c - 1) है, तो a³ + b³ + c³ = ? [SSC CGL 12/09/2024 (3rd Shift)](a) 0(b) 2(c) 4(d) 1Correct Answer: (b) 2Solution:40. x, y और z के वेमान ज्ञात करें, जिससे नीचेदिए गए समीकरणों को संतुष्ट किया जा सके : [SSC CGL 12/09/2024 (3rd Shift)]5x – 3y + 7z = 22; 3x – 5y – 2z = – 46; 2x – 2y + 5z = 24(a) x = – 5, y = 3, z = – 8(b) x = 5, y = – 8, z = 3(c) x = – 5, y = 3, z = 8(d) x = – 5, y = – 3, z = 8Correct Answer: (c) x = – 5, y = 3, z = 8Solution:Submit Quiz« Previous12345Next »