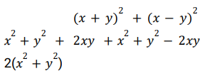
बीजगणित (SSC) (Part-III)Total Questions: 5011. यदि a + b = c है, तो व्यंजक a³ + b³ - c³ + 3abc का मान , _______ के बराबर होगा | [SSC CGL 24/09/2024 (3rd Shift)](a) 0(b) 3(c) 2(d) 1Correct Answer: (a) 0Solution:12. दिए गए प्रश्न का उत्तर ज्ञात कीजिए ? [SSC CGL 25/09/2024 (1st Shift)](a) 1(b) 3(c) 2(d) 4Correct Answer: (c) 2Solution:13. दिए गए प्रश्न का उत्तर ज्ञात कीजिए ? [SSC CGL 25/09/2024 (1st Shift)](a) 1/2(b) -(1/4)(c) -(1/3)(d) 1/6Correct Answer: (c) -(1/3)Solution:14. a' और 'b' के मान ज्ञात कीजिए जिनके लिए समीकरणों के निकाय 3x + y = 3 तथा (a - b)x + (a + b)y = 3a + b - 3 के अनंत हल हैं। [SSC CGL 25/09/2024 (1st Shift)](a)(b)(c)(d)Correct Answer: (c)Solution:15. (x + y)² + (x - y)² का मान निम्न मेंसे किसके बराबर होगा? [SSC CGL 25/09/2024 (2nd Shift)](a) 2(x + y)²(b) 2(x² + y²)(c) (2x + 2y)²(d) 4xyCorrect Answer: (b) 2(x² + y²)Solution:16. k' का वह मान ज्ञात कीजिए जिसके लिए समीकरणों के निकाय 4x + 6y = 7 तथा 6x + (k + 4)y - 21 = 0 का एक अद्वितीय हल है। [SSC CGL 25/09/2024 (2nd Shift)](a) k = 5(b) k ≠ 5(c) k = 7(d) k ≠ 7Correct Answer: (b) k ≠ 5Solution:17. यदि a² + b² = 148 और ab = 54 है, तो (a+b)/(a-b) का मान ज्ञात कीजिए। [SSC CGL 25/09/2024 (3rd Shift)](a)(b)(c)(d)Correct Answer: (a)Solution:18. दो चरों में एक रैखिक समीकरण दिया गया है: 5x + 7y - 8 = 0, निम्नलिखित में से कौन सा रैखिक समीकरण, दिए गए समीकरण के साथ, रैखिक समीकरणों का एक निकाय बनाता है जिसका कोई हल नहीं है ? [SSC CGL 26/09/2024 (1st Shift)](a) 5x + 7y - 16 = 0(b) 7x + 5y - 8 = 0(c) 5x - 7y - 8 = 0(d) 10x + 14y - 16 = 0Correct Answer: (a) 5x + 7y - 16 = 0Solution:19. यदि 2a - b = 3 और 8a³ - b³ = 999 है, तो 4a² - b² का मान ज्ञात कीजिए। [SSC CGL 26/09/2024 (2nd Shift)](a) 63(b) 65(c) 61(d) 67Correct Answer: (a) 63Solution:20. एक परीक्षा में160 बहुविकल्पीय प्रश्न हैं। सही उत्तर के लिए 4 अंक आवंटित किए जाते हैं और गलत उत्तर या अनुत्तरित प्रश्न के लिए सही उत्तरों के कुल अंकों में से 1 अंक काट लिया जाता है। यदि किसी अभ्यर्थी ने परीक्षा में 400 अंक प्राप्त किए, तो उसने कितने प्रश्नों के सही उत्तर दिए? [SSC CHSL 03/07/2024 (4th Shift)](a) 110(b) 112(c) 115(d) 120Correct Answer: (b) 112Solution:Submit Quiz« Previous12345Next »