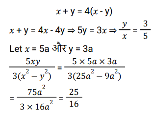
बीजगणित (SSC) (Part-III)Total Questions: 5021. जब हम 2x³ - 3x² + 6x - 4 को 2x - 3 से भाग देते है तो प्राप्त शेषफल ज्ञात कीजिए। [SSC CHSL 04/07/2024 (3rd Shift)](a) 6(b) -6(c) 5(d) -5Correct Answer: (c) 5Solution:22. दिए गए प्रश्न का उत्तर ज्ञात कीजिए ? [SSC CHSL 10/07/2024 (2nd Shift) ](a) B और D बराबर हैं।(b) A और B बराबर हैं।(c) C और D बराबर हैं।(d) A और D बराबर हैं।Correct Answer: (d) A और D बराबर हैं।Solution:23. दिए गए प्रश्न का उत्तर ज्ञात कीजिए ? [SSC CHSL 10/07/2024 (2nd Shift)](a) 3(b) 7(c) 5(d) 6Correct Answer: (c) 5Solution:24. यदि 640 ÷ 8 + 930 ÷ 15 – k + 32 × 5 = 1104 ÷ 16 × 148 ÷ 37 है, तो k का मान क्या है ? [SSC CHSL 11/07/2024 (3rd Shift)](a) 276(b) 26(c) 35(d) 302Correct Answer: (b) 26Solution:25. k (k > 0) के निम्नलिखित में से किस मान के लिए, रेखाएँ 5x + ky - 2 = 0 और (k + 1)x + 4y + 7 = 0 समानांतर होंगी? [SSC CHSL 10/07/2024 (4th Shift)](a) 2(b) 5(c) 3(d) 4Correct Answer: (d) 4Solution:26. दिए गए प्रश्न का उत्तर ज्ञात कीजिए ? [SSC CHSL 11/07/2024 (4th Shift)](a) 164(b) 313(c) 189(d) 225Correct Answer: (b) 313Solution:27. यदि दो संख्याओं x और y का योग 12 है और उनका गुणनफल 27 है, तो उनके घनों का योग ज्ञात करें। [SSC CPO 27/06/2024 (1st Shift)](a) 657(b) 576(c) 765(d) 756Correct Answer: (d) 756Solution:28. दो संख्याओं 𝑥 और y (जहां 𝑥, y से बड़ी है) का योग उनके अंतर के चार गुने के बराबर है। (5𝓍y)/3𝓍² - y का मान ज्ञात करें। [SSC CPO 27/06/2024 (1st Shift)](a)(b)(c)(d)Correct Answer: (a)Solution:29. यदि 𝑥 + y + z = 1,𝑥y + yz + z𝑥 = - 1 और xyz = - 1 है, तो (𝓍³ + y³ + z³) का मान ज्ञात कीजिए। [SSC CPO 27/06/2024 (1st Shift)](a) 0(b) 1(c) 2(d) 3Correct Answer: (b) 1Solution:30. दिए गए प्रश्न का उत्तर ज्ञात कीजिए ? [SSC CPO 27/06/2024 (2nd Shift)](a) 1/2(b) 1(c) 2(d) 1/4Correct Answer: (c) 2Solution:Submit Quiz« Previous12345Next »