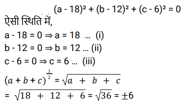
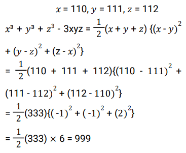
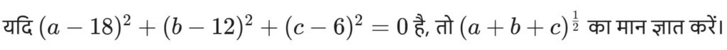
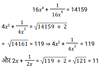
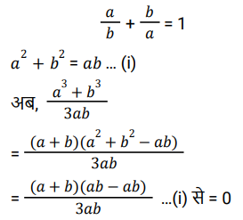
बीजगणित (SSC) (Part-III)Total Questions: 5031. यदि 𝓍 = 3y + 4 है, तो (𝓍³ - 27y³ - 36𝓍y) का मान क्या है? [SSC CPO 27/06/2024 (2nd Shift)](a) 27(b) 64(c) 16(d) 28Correct Answer: (b) 64Solution:32. दिए गए प्रश्न का उत्तर ज्ञात कीजिए ? [SSC CPO 27/06/2024 (3rd Shift)](a) -15(b) 15(c) -10(d) 10Correct Answer: (a) -15Solution:33. दिए गए प्रश्न का उत्तर ज्ञात कीजिए ? [SSC CPO 27/06/2024 (3rd Shift)](a) 9(b) 11(c) 12(d) 15Correct Answer: (b) 11Solution:34. यदि a + 2b + 3c = 0 है, तो (a³ + 8b³ + 27c³ ) का मान क्या है? [SSC CPO 28/06/2024 (1st Shift)](a) 18 abc(b) 12 abc(c) 0(d) 6 abcCorrect Answer: (a) 18 abcSolution:35. यदि x = 110, y = 111, z = 112 है , तो x³ + y³ + z³ - 3xyz का मान ज्ञात कीजिए । [SSC CPO 28/06/2024 (1st Shift)](a) 999(b) 991(c) 997(d) 995Correct Answer: (a) 999Solution:36. दिए गए प्रश्न का उत्तर ज्ञात कीजिए ? [SSC CPO 28/06/2024 (2nd Shift)](a) ± 3(b) ± 6(c) ± 4(d) ± 2Correct Answer: (b) ± 6Solution:37. दो संख्याओं का योग 28 है और उनके वर्गों का योग 528 है। दोनों संख्याओं के गुणनफल का वर्गमूल ज्ञात करें। [SSC CPO 28/06/2024 (2nd Shift)](a) 8√2(b) 2√2(c) 4√2(d) 6√2Correct Answer: (a) 8√2Solution:38. दिए गए प्रश्न का उत्तर ज्ञात कीजिए ? [SSC CPO 28/06/2024 (3rd Shift)](a) 3(b) 0(c) 2(d) -3Correct Answer: (b) 0Solution:39. यदि 𝓍 = 11 है, तो (𝓍⁵ - 12𝓍⁴ + 12𝓍³ - 12𝓍² + 12𝓍 - 1) का मान बताइए। [SSC CPO 28/06/2024 (3rd Shift)](a) 10(b) 8(c) 9(d) 14Correct Answer: (a) 10Solution:40. यदि a + b + c = 15 और ab + bc + ca = 35 है, तो a³ + b³ + c³ - 3abc का मान ज्ञात करें। [SSC CPO 29/06/2024 (1st Shift)](a) 2100(b) 1500(c) 1200(d) 1800Correct Answer: (d) 1800Solution:Submit Quiz« Previous12345Next »