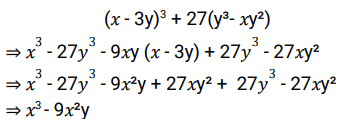
बीजगणित (SSC) (Part-III)Total Questions: 5041. (x − 5) सेपूर्णतः विभाज्य बहुपद प्राप्त करने के लिए (𝓍³ - 3𝓍² + 4𝓍 - 75) में क्या जोड़ा जाना चाहिए ? [SSC CPO 29/06/2024 (1st Shift)](a) 5(b) 6(c) 4(d) 2Correct Answer: (a) 5Solution:42. यदि a + b + c = 13 और ab + bc + ca = 22 है, तो a³ + b³ + c³ - 3abc का मान ______ है। [SSC CPO 29/06/2024 (2nd Shift)](a) 1911(b) 1225(c) 1625(d) 1339Correct Answer: (d) 1339Solution:43. यदि 𝓍² + 4y² + 2𝓍 + 1 = 0 है, तो 𝓍³⁹ + y³⁶ का मान ज्ञात कीजिए। [SSC CPO 29/06/2024 (2nd Shift)](a) -1(b) -2(c) 2(d) 1Correct Answer: (a) -1Solution:44. दिए गए प्रश्न का उत्तर ज्ञात कीजिए ? [SSC CPO 29/06/2024 (3rd Shift)](a) 30(b) 32(c) 28(d) 34Correct Answer: (a) 30Solution:45. दिए गए प्रश्न का उत्तर ज्ञात कीजिए ? [SSC CPO 29/06/2024 (3rd Shift)](a) - 1(b) -2√3(c) 1(d) 2√3Correct Answer: (c) 1Solution:46. दिए गए प्रश्न का उत्तर ज्ञात कीजिए ? [SSC CPO 29/06/2024 (3rd Shift)](a) 2(b) -2(c) √2(d) -√2Correct Answer: (b) -2Solution:47. यदि x³ = 184 + y³ और x = 4 + y है, तो (x + y) का मान ज्ञात कीजिए। (दिया गया है कि x > 0 और y > 0 है) [Higher Secondary 21/06/2024 (Shift - 2)](a) -2√11(b) 2√14(c) -2√14(d) 2√11Correct Answer: (b) 2√14Solution:48. (𝓍 - 3y)³ + 27 (y³ - 𝓍y²) को हल कीजिए। [Higher Secondary 21/06/2024 (Shift - 2)](a) 𝓍³ - 3𝓍²y(b) 𝓍³ - 27y³ - 9𝓍²y(c) 𝓍³ - 27y³ - 9𝓍²y + 27𝓍y² + 27y² - 27y²(d) 𝓍³ - 9𝓍²yCorrect Answer: (d) 𝓍³ - 9𝓍²ySolution:49. दिए गए प्रश्न का उत्तर ज्ञात कीजिए ? [Higher Secondary 24/06/2024 (Shift - 2)](a) 2.00(b) 3.25(c) 2.50(d) 1.75Correct Answer: (d) 1.75Solution:50. दिए गए प्रश्न का उत्तर ज्ञात कीजिए ? [Higher Secondary 24/06/2024 (Shift - 2)](a)(b)(c)(d)Correct Answer: (d)Solution:Submit Quiz« Previous12345