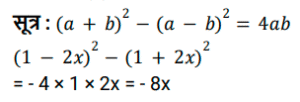
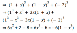
बीजगणित (SSC) (Part-IV)Total Questions: 5011. दिए गए प्रश्न का उत्तर ज्ञात कीजिए ? [SSC CPO 03/10/2023 (2nd Shift)](a)(b)(c)(d)Correct Answer: (c)Solution:12. दिए गए प्रश्न का उत्तर ज्ञात कीजिए ? [SSC CPO 03/10/2023 (3rd Shift)](a) 3/10(b) 2/5(c) 1/10(d) 1/5Correct Answer: (d) 1/5Solution:13. दिए गए प्रश्न का उत्तर ज्ञात कीजिए ? [SSC CPO 03/10/2023 (3rd Shift)](a) 54/23(b) 53/28(c) 53/27(d) 54/25Correct Answer: (d) 54/25Solution:14. दिए गए प्रश्न का उत्तर ज्ञात कीजिए ? [SSC CPO 04/10/2023 (2nd Shift)](a) 24(b) 1/290(c) 290(d) 1/24Correct Answer: (d) 1/24Solution:15. निम्नलिखित व्यंजक का मान क्या होगा ? [SSC CPO 04/10/2023 (2nd Shift)](a) 2.508(b) 4.508(c) 2.146(d) 3.156Correct Answer: (a) 2.508Solution:16. दिए गए प्रश्न का उत्तर ज्ञात कीजिए ? [SSC CPO 04/10/2023 (3rd Shift)](a) 3(b) −1(c) 1(d) 2Correct Answer: (c) 1Solution:17. निम्नलिखित व्यंजक का मान क्या होगा? [SSC CPO 04/10/2023 (3rd Shift)](1 + 𝓍)³ + (1 - 𝓍)³ + (- 2)³(a) 3(1 - x²)(b) 6(1 - x²)(c) -6(1 - x²)(d) - 3(1 - x²)Correct Answer: (c) -6(1 - x²)Solution:18. निम्नलिखित व्यंजक का मान क्या होगा? [SSC CPO 05/10/2023 (1st Shift)](1 - 2𝓍)² - (1 + 2𝓍)²(a) - 8𝓍(b) 8𝓍(c) 2 + 8𝓍(d) -(2 + 8𝓍)Correct Answer: (a) - 8𝓍Solution:19. यदि a + b + c = 5 और ab + bc + ca = 7, है तो a³ + b³ + c³ - 3abc𝑎 का मान क्या होगा ? [SSC CPO 05/10/2023 (1st Shift)](a) 20(b) 25(c) 15(d) 30Correct Answer: (a) 20Solution:20. दिए गए व्यंजक का मान क्या होगा? [SSC CPO 05/10/2023 (3rd Shift)](x - 2y)(y - 3x) + (x + y)(x - y) + (x - 3y)(2x + y)(a) 2x(x - 3y)(b) 2y(x + 3y)(c) 2x(x + 3y)(d) 2y(x - 3y)Correct Answer: (d) 2y(x - 3y)Solution:Submit Quiz« Previous12345Next »