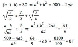
बीजगणित (SSC) (Part-IV)Total Questions: 5021. यदि (x - 2), (2x² + 12kx - 25k), का गुणनखंड है, तो k का मान क्या है? [SSC MTS 01/09/2023 (2nd Shift)](a) 2(b) 8(c) 4(d) 6Correct Answer: (b) 8Solution:22. दिए गए प्रश्न का उत्तर ज्ञात कीजिए ? [SSC CHSL 02/08/2023 (1st Shift)](a) 81/11(b) 81/7(c) 71/8(d) 81/8Correct Answer: (d) 81/8Solution:23. यदि (a - b) = 9 और (a³ - b³) = 4401 है, तो ab का मान ज्ञात कीजिए। [SSC CHSL 02/08/2023 (2nd Shift)](a) 190(b) 112(c) 162(d) 136Correct Answer: (d) 136Solution:24. दिए गए प्रश्न का उत्तर ज्ञात कीजिए ? [SSC CHSL 02/08/2023 (2nd Shift)](a) 22.5(b) 34(c) 25.5(d) 36Correct Answer: (c) 25.5Solution:25. दिए गए प्रश्न का उत्तर ज्ञात कीजिए ? [SSC CHSL 02/08/2023 (3rd Shift)](a) √6(b) √10(c) √15(d) √7Correct Answer: (c) √15Solution:26. दिए गए प्रश्न का उत्तर ज्ञात कीजिए ? [SSC CHSL 03/08/2023 (1st Shift)](a) 64(b) 28(c) 81(d) 36Correct Answer: (c) 81Solution:27. यदि 2𝑥 + 3𝑦 = 9,और 𝑥𝑦 = 3, तो 8𝓍³ + 27y का मान ज्ञात कीजिए I [SSC CHSL 03/08/2023 (1st Shift)](a) 235(b) 244(c) 243(d) 234Correct Answer: (c) 243Solution:28. दिए गए प्रश्न का उत्तर ज्ञात कीजिए ? [SSC CHSL 03/08/2023 (3rd Shift)](a) 5/3√3(b) 10/3√3(c) 7/3√3(d) 8/3√3Correct Answer: (b) 10/3√3Solution:29. यदि a + b = 10 और a² + b² = 58 है, तो ab का मान ज्ञात कीजिए। [SSC CHSL 03/08/2023 (3rd Shift)](a) 24(b) 27(c) 30(d) 21Correct Answer: (d) 21Solution:30. यदि (a + b + c) ≠ 0 है, तो (a + b + c) (a² + b² + c² - ab - bc - ca) का मान _______के बराबर है। [SSC CHSL 03/08/2023 (4th Shift)](a) a³ + b³ - c³ - 3abc(b) a³ - b³ + c³ - 3abc(c) a³ + b³ + c³ - 3abc(d) a³ + b³ + c³ + 3abcCorrect Answer: (c) a³ + b³ + c³ - 3abcSolution:Submit Quiz« Previous12345Next »