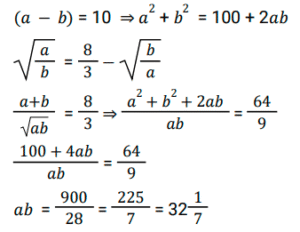
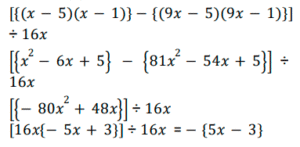
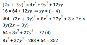
बीजगणित (SSC) (Part-IV)Total Questions: 5031. यदि 2a + 3b = 14 और 2a - 3b = 10, तो 'ab' का मान क्या है। [SSC CHSL 03/08/2023 (4th Shift)](a) 5(b) 3(c) 4(d) 2Correct Answer: (c) 4Solution:32. दिए गए प्रश्न का उत्तर ज्ञात कीजिए ? [SSC CHSL 04/08/2023 (2nd Shift)](a)(b)(c)(d)Correct Answer: (a)Solution:33. निम्नलिखित में से कौन-सा एक सर्वसमिका है [SSC CHSL 04/08/2023 (2nd Shift)](a) (a - b)² = a² - b²(b) (a + b)² = a² + b² + 2ab(c) (a + b)² = a² + b²(d) (a - b)² = a² - b² - 2abCorrect Answer: (b) (a + b)² = a² + b² + 2abSolution:34. दिए गए प्रश्न का उत्तर ज्ञात कीजिए ? [SSC CHSL 04/08/2023 (2nd Shift)](a) 5/7(b) 3/7(c) 4/7(d) 2/7Correct Answer: (c) 4/7Solution:35. दिए गए प्रश्न का उत्तर ज्ञात कीजिए ? [SSC CHSL 04/08/2023 (3rd Shift)](a) 174√5(b) 164√5(c) 154√5(d) 144√5Correct Answer: (d) 144√5Solution:36. दिए गए प्रश्न का उत्तर ज्ञात कीजिए ? [SSC CHSL 04/08/2023 (3rd Shift) ](a) 766(b) 756(c) 702(d) 729Correct Answer: (b) 756Solution:37. यदि 2x + 3y = 4 और 4x² + 9y² = 64, तो 8x³ + 27y³ का मान क्या है? [SSC CHSL 04/08/2023 (4th Shift)](a) 253(b) 235(c) 352(d) 325Correct Answer: (c) 352Solution:38. यदि a + b + c = 15 और ab + bc + ca = 22 है, तो a² + b² + c² का मान ज्ञात कीजिए। [SSC CHSL 07/08/2023 (1st Shift)](a) 131(b) 141(c) 161(d) 181Correct Answer: (d) 181Solution:39. निम्नलिखित व्यंजक को सरल कीजिए। [SSC CHSL 07/08/2023 (1st Shift)]{[(𝑥 - 5)(𝑥 - 1)] - [(9𝑥 - 5)(9𝑥 - 1)]} ÷ 16𝑥(a) 2𝑥(5𝑥 − 3)(b) -(5𝑥 − 3)(c) 𝑥(5𝑥 − 3)(d) -6𝑥(5𝑥 − 3)Correct Answer: (b) -(5𝑥 − 3)Solution:40. दिए गए प्रश्न का उत्तर ज्ञात कीजिए ? [SSC CHSL 07/08/2023 (1st Shift)](a) 2(b) 1(c) 0(d) -1Correct Answer: (a) 2Solution:Submit Quiz« Previous12345Next »