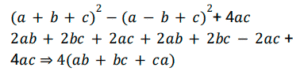
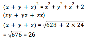
बीजगणित (SSC) (Part-IV)Total Questions: 5041. बीजीय व्यंजक 2x² - 32 का मान _____के बराबर है। [SSC CHSL 07/08/2023 (2nd Shift)](a) 2(x - 4)²(b) (x + 4)(x - 4)(c) 2(x + 4)²(d) 2(x + 4)(x - 4)Correct Answer: (d) 2(x + 4)(x - 4)Solution:42. दिए गए प्रश्न का उत्तर ज्ञात कीजिए ? [SSC CHSL 07/08/2023 (2nd Shift)](a) 4.16(b) 3.32(c) 1.84(d) 2.16Correct Answer: (d) 2.16Solution:43. दिए गए प्रश्न का उत्तर ज्ञात कीजिए ? [SSC CHSL 07/08/2023 (2nd Shift)](a) 2535(b) 2540(c) 2515(d) 2525Correct Answer: (d) 2525Solution:44. यदि x² + y² + z² = 628 और xy + yz + zx = 24, तो (x + y + z) का मान ज्ञात कीजिए। [SSC CHSL 07/08/2023 (3rd Shift)](a) 22(b) 28(c) 26(d) 24Correct Answer: (c) 26Solution:45. दिए गए प्रश्न का उत्तर ज्ञात कीजिए ? [SSC CHSL 07/08/2023 (3rd Shift)](a) 3(b) 2(c) -1(d) 0Correct Answer: (b) 2Solution:46. निम्नलिखित व्यंजक को सरल कीजिए [SSC CHSL 07/08/2023 (4th Shift)](a)(b)(c)(d)Correct Answer: (d)Solution:47. दिए गए प्रश्न का उत्तर ज्ञात कीजिए ? [SSC CHSL 07/08/2023 (4th Shift)](a) 130(b) 115(c) 140(d) 125Correct Answer: (c) 140Solution:48. यदि a + b + c = 16, और ab + bc + ac = 81 है, तोa² + b² + c² का मान क्या है? [SSC CHSL 08/08/2023 (1st Shift)](a) 94(b) 98(c) 89(d) 87Correct Answer: (a) 94Solution:49. निम्नलिखित व्यंजक को सरल कीजिए [SSC CHSL 08/08/2023 (1st Shift)](a + b + c)² - (a - b + c)² + 4ac(a) 4(bc + ac)(b) 2(ab + bc + ac)(c) 4(ab + bc + ac)(d) 4(bc + ab)Correct Answer: (c) 4(ab + bc + ac)Solution:50. दिए गए प्रश्न का उत्तर ज्ञात कीजिए ? [SSC CHSL 08/08/2023 (2nd Shift)](a) 1331(b) 1364(c) 1296(d) 1244Correct Answer: (b) 1364Solution:Submit Quiz« Previous12345