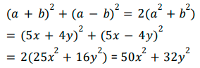
बीजगणित (SSC) (Part-IX)Total Questions: 5031. दिए गए बीजगणितीय व्यंजक का गुणनखंड कीजिए । [Graduate Level 02/08/2022 (Shift - 3)]x³ + 27y³ + 64z³ - 36xyz(a) (x - 3y - 4z)(x² + 9y² + 16z² - 3xy - 12yz - 4xz)(b) (x + 3y + 4z)(x² + 9y² + 16z² - 3xy - 12yz - 4xz)(c) (x + 3y + 4z)(x² + 9y² + 16z² - 12xy - 3yz - 4xz)(d) (x + 3y + 4z)(x² + 9y² + 16z² + 3xy + 12yz + 4xz)Correct Answer: (b) (x + 3y + 4z)(x² + 9y² + 16z² - 3xy - 12yz - 4xz)Solution:32. निम्न का मान ज्ञात कीजिए। [Graduate Level 03/08/2022 (Shift - 3)](5x + 4y)² + (5x - 4y)²(a) 32x² + 50y²(b) 50x² + 32y²(c) - 80xy(d) 80xyCorrect Answer: (b) 50x² + 32y²Solution:33. 𝓍³ - y³ प्राप्त करनेके लिए 𝓍³ - 3𝓍²y + 3xy² - y³ में से क्या घटाया जाना चाहिए? [Graduate Level 04/08/2022 (Shift - 2)](a) -3𝓍²y + 3xy²(b) 3𝓍²y - 3xy²(c) 𝓍³ - y³(d) -𝓍³ + y³Correct Answer: (a) -3𝓍²y + 3xy²Solution:34. यदि a - b = 10 और ab = 4 है, तो a³ - b³ + 4(a+ b)² का मान ज्ञात कीजिए । [Graduate Level 04/08/2022 (Shift - 2)](a) 1500(b) 1584(c) 1280(d) 1623Correct Answer: (b) 1584Solution:35. यदि a = x + y, b = x - y और c = 2x - 1 हो तो a² + b² + c² - 2ab + 2ac - 2bc का मान ज्ञात कीजिये I [Graduate Level 04/08/2022 (Shift - 4)](a) (x - y - 1)²(b) 0(c) (2x + 2y - 1)²(d) (2x - 2y - 1)²Correct Answer: (c) (2x + 2y - 1)²Solution:36. दिए गए प्रश्न का उत्तर ज्ञात कीजिए ? [Graduate Level 05/08/2022 (Shift - 3)](a) 18(b) 15(c) 10(d) 12Correct Answer: (a) 18Solution:37. दिए गए प्रश्न का उत्तर ज्ञात कीजिए ? [Graduate Level 05/08/2022 (Shift - 3)](a)(b)(c)(d)Correct Answer: (b)Solution:38. दिए गए प्रश्न का उत्तर ज्ञात कीजिए ? [Higher Secondary 01/08/2022 (Shift - 3)](a) 15(b) 18(c) 10(d) 12Correct Answer: (a) 15Solution:39. दिए गए प्रश्न का उत्तर ज्ञात कीजिए ? [Higher Secondary 03/08/2022 (Shift - 4)](a) 16(b) 18(c) 17(d) 27Correct Answer: (c) 17Solution:40. दिए गए प्रश्न का उत्तर ज्ञात कीजिए ? [Higher Secondary 04/08/2022 (Shift - 3)](a) 142(b) 324(c) 321(d) 327Correct Answer: (c) 321Solution:Submit Quiz« Previous12345Next »