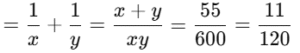
महत्तम समापवर्तक और लघुत्तम समापवर्त्य (रेलवे गणित) Part-2Total Questions: 5011. (a³ + b³), (a + b)² और (a² - b²) का म. स. प (HCF) ज्ञात कीजिए। [RRB JE 31/05/2019 (Evening)](a) (a + b) (b) (a - b) (c) (a + b)(a - b) (d) (a³ + b³)(a² - b²)Correct Answer: (a) (a + b) Solution:हम जानते हैं कि(a³ + b³) = (a + b)(a² - ab + b²)(a + b)² = (a + b)(a + b), (a² - b²) = (a + b)(a - b) उनका म. स. प (HCF) = (a + b) है12. दो संख्याओं का HCF 7 है और उनका LCM 434 है। यदि संख्याओं में से एक 14 है, तो दूसरी संख्या ज्ञात कीजिए। [Group D 17/08/2022 (Evening)](a) 146 (b) 217(c) 52 (d) 48Correct Answer: (b) 217Solution:दूसरी संख्या 13. 108 और 144 का HCF ज्ञात करें। [Group D 18/08/2022 (Evening)](a) 36 (b) 16 (c) 24 (d) 12Correct Answer: (a) 36 Solution:108 = 3 × 4 × 9144 = 4 × 4 × 9108 और 144 का म.स. = 4 × 9 = 3614. दो संख्याएँ 5 : 7 के अनुपात में हैं। यदि उनका महत्तम समापवर्तक 17 है, तो संख्याएँ ज्ञात कीजिए। [Group D 22/08/2022 (Morning)](a) 85, 119 (b) 102, 136 (c) 68, 85 (d) 85, 102Correct Answer: (a) 85, 119 Solution:संख्याएँ = 17 × 5 और 17 × 7= 85, 11915. दो संख्याओं का गुणनफल 1472 है और उनका म.स.प. 8 है। उनका लघुत्तम समापवर्त्य ज्ञात कीजिए। [Group D 22/08/2022 (Evening)](a) 144 (b) 108 (c) 184 (d) 176Correct Answer: (d) 176Solution:लघुत्तम समापवर्त्य 16. 45, 78 और 117 का महत्तम समापवर्तक (HCF) ज्ञात कीजिए। [Group D 23/08/2022 (Morning)](a) 9 (b) 5 (c) 7 (d) 3Correct Answer: (d) 3Solution:45 = 3 × 3 × 578 = 2 × 3 × 13117 = 3 × 3 × 1345, 78 और 117 का महत्तम समापवर्तक = 317. वह छोटी से छोटी संख्या ज्ञात कीजिए, जिसे 2488 में जोड़ने पर प्राप्त संख्या 3, 4, 5 और 6 से पूर्णतः विभाज्य होगी। [Group D 23/08/2022 (Evening)](a) 34 (b) 28 (c) 42 (d) 32Correct Answer: (d) 32Solution:3, 4, 5, 6 का लघुत्तम समापवर्त्य = 60 60 - 28 = 3232 को 2488 में जोड़ा जाना चाहिए।18. छह अंकों की वह छोटी से छोटी संख्या ज्ञात कीजिए, जो 8, 10, 12 और 16 से पूर्णतः विभाज्य हो [Group D 24/08/2022 (Evening)](a) 100040 (b) 100020 (c) 100060 (d) 100080Correct Answer: (d) 100080Solution:6 अंकों की सबसे छोटी संख्या = 1000008, 10, 12, 16 का लघुत्तम समापवर्त्य = 240 240 - 160 = 80आवश्यक संख्या = 100000 + 80 = 10008019. 5 अंकों की वह छोटी से छोटी संख्या ज्ञात कीजिए, जिसे 15, 24, 35 और 42 से विभाजित करने पर प्रत्येक स्थिति में शेषफल 13 प्राप्त होगा। [Group D 25/08/2022 (Morning)](a) 10067 (b) 10073 (c) 10093(d) 10106Correct Answer: (c) 10093Solution:20. दो धन पूर्णांकों का योगफल 55 है। यदि उनके महत्तम समापवर्तक (HCF) और लघुत्तम समापवर्त्य (LCM) क्रमशः: 5 और 120 हैं, तो उनके व्युत्क्रमों का योगफल ________ है। [Group D 25/08/2022 (Morning)](a) 120/13 (b) 11/120(c) 14/6 (d) 12/13Correct Answer: (b) 11/120Solution:माना दो संख्याएँ x और y हैं।दो संख्याओं का गुणनफल (xy)= L.C.M × H.C.F = 5 × 120 = 600उनके व्युत्क्रमों का योग Submit Quiz« Previous12345Next »