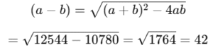
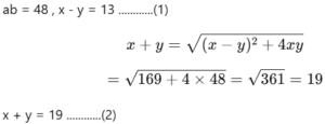
महत्तम समापवर्तक और लघुत्तम समापवर्त्य (रेलवे गणित) Part-2Total Questions: 5021. निम्नलिखित में से कौन सा संख्या-युग्म सह- अभाज्य है? [Group D 25/08/2022 (Afternoon)](a) (17, 23) (b) (14, 21) (c) (15, 25) (d) (12, 24)Correct Answer: (a) (17, 23) Solution:सह-अभाज्य संख्याओं का HCF 1 होता है।विकल्पों के अनुसार, (17, 23) का H.C.F = 122. दो संख्याओं का लघुत्तम समापवर्त्य (LCM) 385 है, और उनका महत्तम समापवर्तक (HCF) 7 है। यदि दोनों संख्याओं का योग 112 है, तो उनका अंतर ज्ञात कीजिए। [Group D 25/08/2022 (Evening)](a) 50 (b) 35 (c) 42(d) 43Correct Answer: (c) 42Solution:माना संख्याएँ a और b हैंसंख्याओं का गुणनफल (ab) = L.C.M × H.C.F= 385 × 7 = 2695संख्याओं का योग (a + b) = 112संख्याओं का अंतर 23. वह सबसे बड़ी संख्या ज्ञात कीजिए जिससे संख्या 57, 95 और 211 में भाग देने पर प्रत्येक स्थिति में समान शेषफल प्राप्त होता है। [Group D 26/08/2022 (Morning)](a) 3 (b) 4 (c) 1 (d) 2Correct Answer: (d) 2Solution:समान शेषफल के लिए हमें दी गईसंख्या के बीच के अंतर का म.स.प. ज्ञात करना है।95 - 57 = 38, 211 - 95 = 116, 211 - 57 = 15438, 116 और 154 का म.स.प. = 2अतः विकल्प (d) सही उत्तर होगा।24. यदि दो संख्याओं का योग 54 है और इन संख्याओं का लघुत्तम समापवर्तक और महत्तम समापवर्तक क्रमशः: 84 और 6 है, तो संख्याओं के व्युत्क्रम का योग क्या होगा? [Group D 29/08/2022 (Afternoon)](a) 7/28 (b) 3/28(c) 5/28 (d) 9/28Correct Answer: (b) 3/28Solution:संख्याओं का योग (x + y) = 54,L.C.M = 84, H.C.F = 6उनके व्युत्क्रमों का योग 25. दो संख्याएँ 3 : 2 के अनुपात में हैं। उनका लघुत्तम समापवर्त्य और म.स.प क्रमशः: 24 और 4 है। दो संख्याओं में से बड़ी है: [Group D 29/08/2022 (Evening)](a) 8 (b) 12(c) 14 (d) 10Correct Answer: (b) 12Solution:माना संख्याएँ 3x और 2x हैं।संख्याओं का गुणनफल = ल. स. × म. स.= 24 × 4 = 963x × 2x = 96 ⇒ 6x² = 96⇒ x = √(96 / 6) = 4बड़ी संख्या = 3x = 1226. यदि X वह बड़ी से बड़ी संख्या है, जिससे 3808, 4798 और 5128 को विभाजित करने पर प्रत्येक स्थिति में समान शेषफल 13 प्राप्त होता है, तो X के अंकों का योग ज्ञात कीजिए। [Group D 30/08/2022 (Morning)](a) 18 (c) 14 (b) 12(d) 16Correct Answer: (b) 12Solution:3808 - 13 = 3795,4798 - 13 = 4785, 5128 - 13 = 51153795, 4785 और 5115 का H.C.F = 165अंकों का योग = 1 + 6 + 5 = 1227. दो संख्याओं के लघुत्तम समापवर्त्य (LCM) और महत्तम समापवर्तक (HCF) क्रमशः: 1920 और 4 हैं। यदि एक संख्या 60 है, तो दूसरी संख्या _________ है। [Group D 30/08/2022 (Afternoon)](a) 140 (b) 130 (c) 117 (d) 128Correct Answer: (d) 128Solution:अन्य संख्या 28. यदि दो संख्याओं के महत्तम समापवर्तक (HCF) और लघुत्तम समापवर्त्य (LCM) क्रमशः 7 और 245 हैं, तो उनका गुणनफल ज्ञात कीजिए। [Group D 30/08/2022 (Evening)](a) 1175 (b) 1715(c) 1751 (d) 1517Correct Answer: (b) 1715Solution:दो संख्याओं का गुणनफल=L.C.M×H.C.F=245×7=171529. दो संख्याओं के लघुत्तम समापवर्त्य (LCM) और महत्तम समापवर्तक (HCF) का गुणनफल 48 है। यदि दोनों संख्याओं का अंतर 13 है, तो संख्याएं ज्ञात कीजिए। [Group D 01/09/2022 (Morning)](a) 3 और 16 (b) 4 और 17 (c) 11 और 24 (d) 12 और 25Correct Answer: (a) 3 और 16 Solution:माना संख्याएँ a और b हैं। समीकरण (1) और (2) को हल करने पर हमें x = 16 और y = 3 प्राप्त होता हैअतः संख्याएँ 3 और 16 हैं।30. तीन संख्याओं का अनुपात 1 : 2 : 5 है, और उनका लघुत्तम समापवर्त्य (LCM) 1600 है। संख्याओं का महत्तम समापवर्तक (HCF) ज्ञात कीजिए। [Group D 01/09/2022 (Afternoon)](a) 800 (b) 320 (c) 160(d) 480Correct Answer: (c) 160Solution:Submit Quiz« Previous12345Next »