यूजीसी NTA नेट/जेआरएफ परीक्षा, जून 2020 (भूगोल)

Total Questions: 100

91. उत्तरी गोलार्द्ध में चक्रवाती गतिविधियां किससे संबंधित हैं?

Correct Answer: (d) ग्रीष्म व शरद
Solution:

मुख्य चक्रवातीय विधियाँ उत्तरी गोलार्ध के उत्तरार्ध व शरद के दौरान भूमध्य रेखिए द्रोणिका के दक्षिणी विस्थापन के समय होती है।

92. वेस्ट इंडीज में उष्ण कटिबंधीय चक्रवात के लिए निम्नलिखित से कौन सा क्षेत्रीय नाम है?

Correct Answer: (b) हरिकेन
Solution:

उष्ण कटिबन्धीय चक्रवातों को उत्तरी अण्टलांटिक महासागर खासकर कैरेबियन सागर में तथा द. पू. संयुक्त राज्य अमेरिका में इन्हें हरिकेन, चीन में टाइफून भारत के पूर्वी तटीय प्रदेशों में चक्रवात आस्ट्रेलिया में विली-विली, जापान में टैफू तथा फिलीपीन्स में बैजियो कहते हैं।

93. निम्नलिखित सागर सतह तापमान में से कौन सा तापमान उष्ण कटिबंधीय चक्रवात के निर्माण के लिए आदर्श है?

Correct Answer: (a) 27°C
Solution:

ग्रीष्म के उत्तरार्ध में उष्णकटिबन्धीय महासागरों का पश्चिम भाग जहाँ तापमान 27°C हो यहाँ नमी, वर्षा प्रदान करने के लिए आँधी के उत्प्रेरण के लिए आवश्यक गुप्त उष्मा प्रदान करती है।

94. निम्नलिखित में से कौन सा तत्व उष्ण कटिबंधीय चक्रवातों से संबंधित नहीं है?

Correct Answer: (d) घना कोहरा
Solution:

उष्ण कटिबंधीय चक्रवात निम्न दाब प्रणाली के समीप होते है जो उग्र हवाएं, मूसलाधार वर्षा व तड़ित झंझावत लेकर आते है।

95. उष्ण कटीबंधीय चक्रवात के विकास के लिए निम्नलिखित अवस्था में से कौन सी अवस्था आवश्यक ?

Correct Answer: (c) प्रचुर नमी की आपूर्ति
Solution:

चक्रवात के विकास के लिए प्रचुर नमी की आपूर्ति का होना आवश्यक है। इस कारण से चक्रवात का वितरण उन क्षेत्रो के निकट होता है जहाँ उच्चतम सागरीय सतह तापमान पाया जाता है।

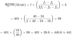
96. दिये गये आंकड़ा समूह के लिए बहुलक मूल्य निम्नलिखित में से कौन सा एक है?

निम्नलिखित आँकड़े पर विचार कीजिए और प्रश्नों के उत्तर दीजिए:

Correct Answer: (d) 441
Solution:

97. दिये गये आंकड़ा समूह के वर्ग सीमा 301-400 के लिए प्रतिशत में सापेक्षिक बारबारता निम्नलिखित में से कौन सा एक है?

Correct Answer: (b) 19.2
Solution:

Percentage of relative frequency = (24/125) × 100
= 4.8 × 4 = 19.2%

98. दिये गये आंकड़ा समूह के लिए अंकगणीतीय माध्यमूल्य निम्नलिखित में से कौन सा एक है?

Correct Answer: (c) 483
Solution:
क्र.सं.वर्ग सीमाबारंबारता (fᵢ​)xᵢfᵢ​ × xᵢ
1.101-2004150.5602
2.201-30012250.53006
3.301-40024350.58412
4.401-50040450.518020
5.501-60016550.58808
6.601-70012650.57806
7.701-80010750.57505
8.801-9005850.54252.5
9.901-10002950.51901
योग∑fᵢ = 125∑fᵢxᵢ 60312.5

Mean = ∑fᵢxᵢ/∑fᵢ
= 60312.5/125 = 482.5 ≈ 483

99. दिये गये आंकड़ा समूह से वर्ग-सीमा 401-500 के लिए संचयी बारंबारता निम्नलिखित में से कौन-सा- एक है?

Correct Answer: (d) 80
Solution:

80 संचयी बारंबारता वितरण में किसी वर्गान्तर की आवृत्ति में उससे पूर्व के समस्त वर्गान्तरों की आवृतियों को जोड़ देते हैं।

100. सम्पूर्ण आंकड़ा समूह की संचयी बारंबारता निम्नलिखित में से कौन सा एक है?

Correct Answer: (a) 125
Solution:

समूह की कुल संचयी बारंबारता ∑fᵢ = 125